Предмет: Геометрия,
автор: qqquc
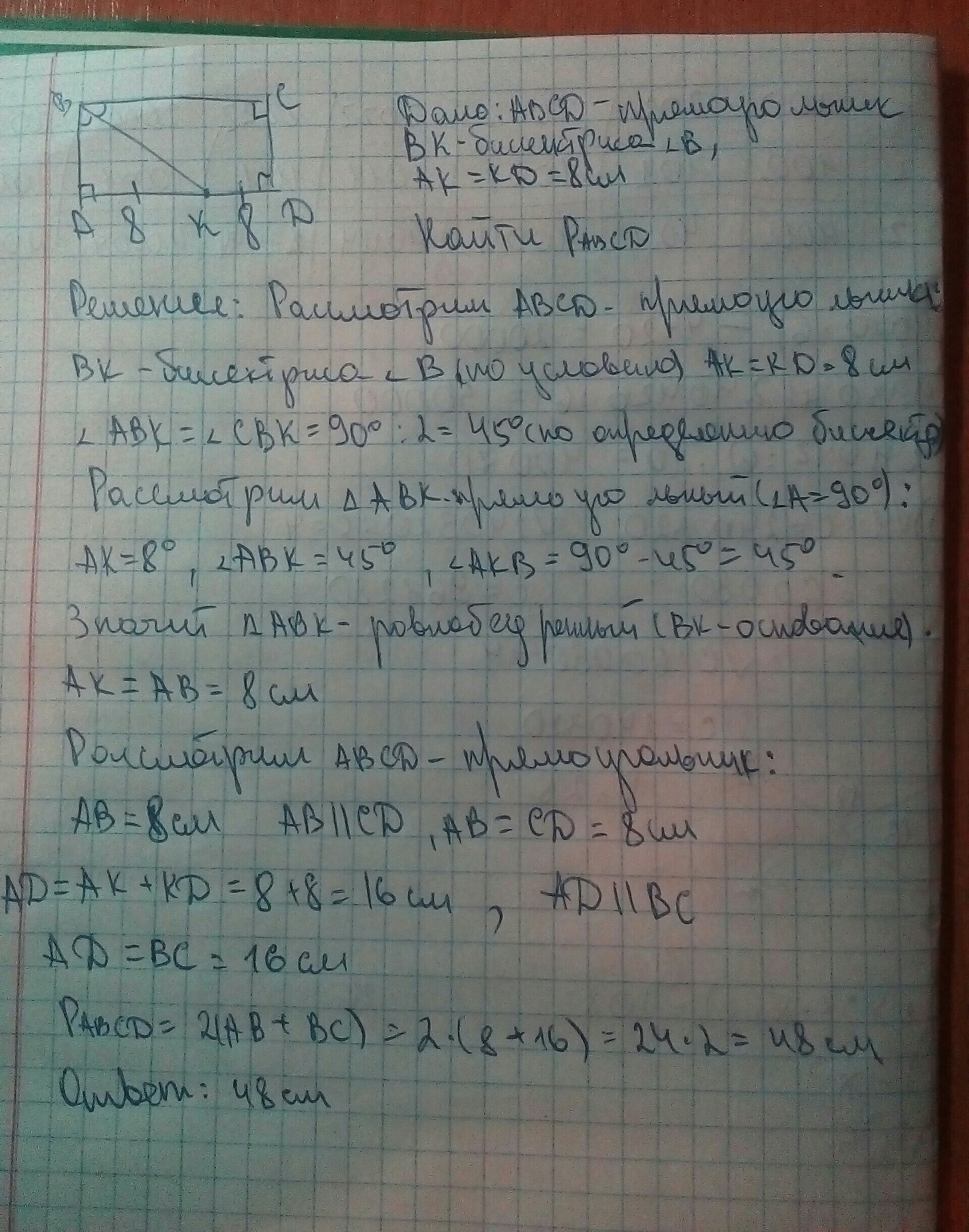
биссектриса угла прямоугольника делит его большую сторону на две части каждая из которых равна 8 см найти периметр прямоугольника
Ответы
Автор ответа:
26
Я там все писала быстро, поэтому если не понятно пишите!!!
Приложения:
Похожие вопросы
Предмет: Русский язык,
автор: outlookgrisha
Предмет: Информатика,
автор: bekinaeka14
Предмет: Английский язык,
автор: soni9074
Предмет: Математика,
автор: yuliya3333
Предмет: Математика,
автор: monika43