Предмет: Математика,
автор: Vo13x
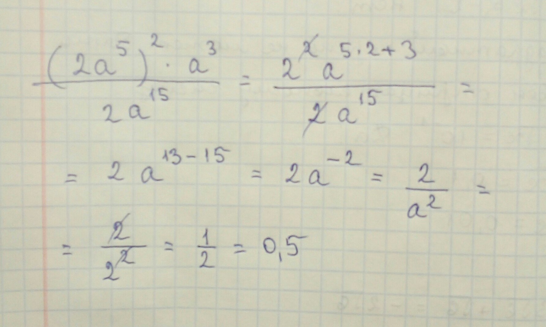
найдите значение выражениея (2a^5)^2*a^3/2a^15 при a=2
Ответы
Автор ответа:
1
фоточка тебе в помощь
Приложения:
Похожие вопросы
Предмет: Алгебра,
автор: nastyakostina1314
Предмет: Геометрия,
автор: 890722ann
Предмет: Математика,
автор: vierahur
Предмет: Химия,
автор: danilbelov2011