Предмет: Математика,
автор: Vo13x
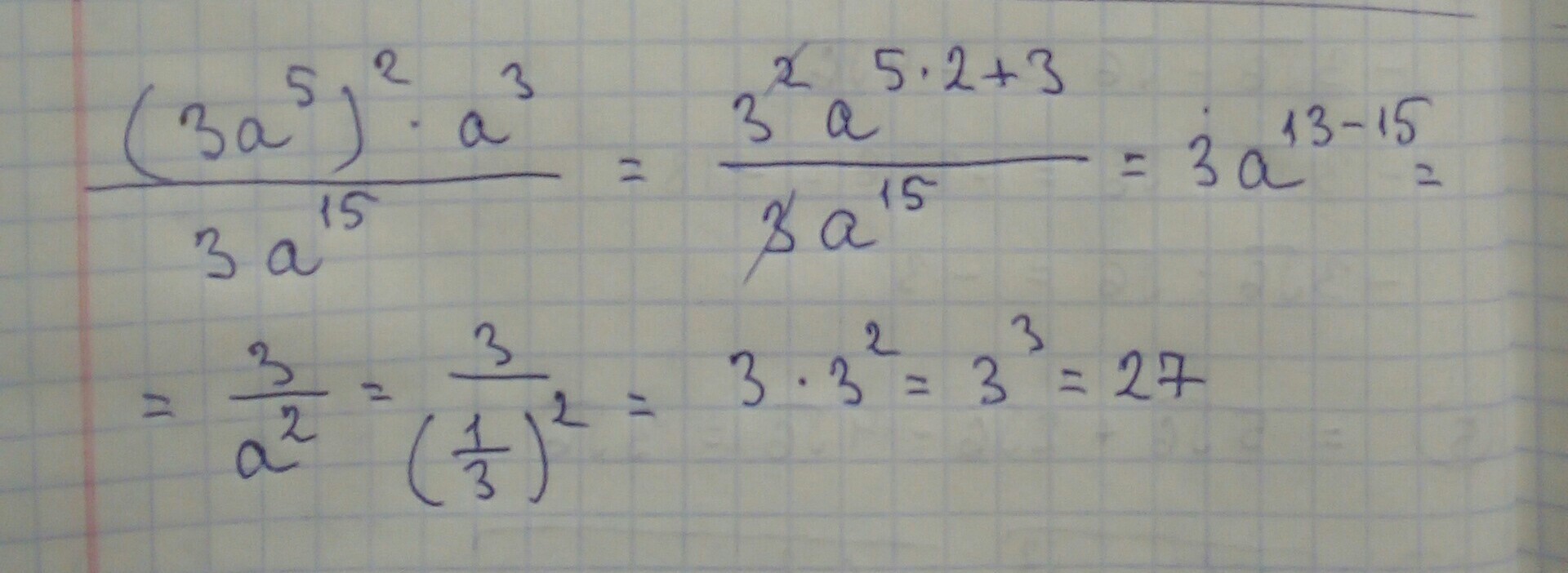
найдите значение выражения (3a^5)^2*a^3/3a^15 при a=1/3
Ответы
Автор ответа:
2
...............................
Приложения:
ЯгодкаЯлесная:
квадратик у троечки в числителе забыли написать после первого и второго равно
Автор ответа:
1
фоточка тебе в помощь
Приложения:
Похожие вопросы
Предмет: Информатика,
автор: horoshilovadariya
Предмет: Биология,
автор: sophie211
Предмет: Английский язык,
автор: dianapenguin
Предмет: Математика,
автор: Akachiya1
Предмет: Математика,
автор: GoodChoiceShow