Предмет: Алгебра, автор: Аноним

Помогите пожалуйста.

Приложения:

katyamerekina: Удали мой комментарий, то фото решения не прикрепилось

Ответы

Автор ответа: AntVa
0

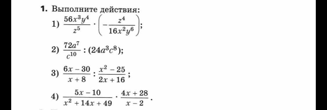
1)-\frac{7x}{2y^2z}

2)\frac{72a^7}{c^{10}}*\frac{1}{24a^3c^8}=\frac{3a^4}{c^{18}}

3)\frac{6(x-5)}{x+8}*\frac{2(x+8)}{(x-5)(x+5)}=\frac{12}{x+5}

4)\frac{5(x-2)}{(x+7)^2}*\frac{4(x+7)}{x-2}=\frac{20}{x+7}

Похожие вопросы
Предмет: Математика, автор: musli