Предмет: Математика,
автор: gfdgh78
пожалуйста,очень нужно
Приложения:
Ответы
Автор ответа:
0
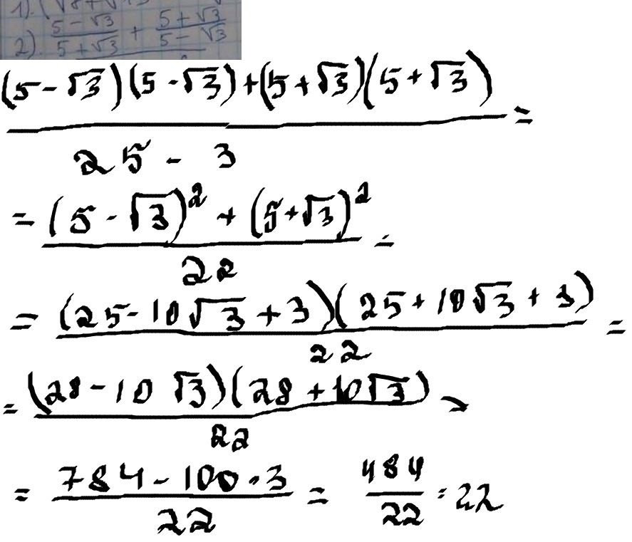
решение во вложении......
Приложения:
Похожие вопросы
Предмет: Литература,
автор: Gungul
Предмет: Английский язык,
автор: Аноним
Предмет: Информатика,
автор: fatimagusejnova811
Предмет: Алгебра,
автор: andreywot