Предмет: Математика,
автор: wereqaska001
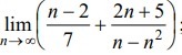
Найдите пределы последовательности данных выражений:
Приложения:
Ответы
Автор ответа:
0
Посмотрите предложенное решение (ответы отмечены зелёным). Оформление не соблюдалось.
Приложения:
Похожие вопросы
Предмет: Обществознание,
автор: pipetkakrivetka
Предмет: История,
автор: rmatveenko2008
Предмет: История,
автор: mbran8457
Предмет: Химия,
автор: dfgghh1
Предмет: Химия,
автор: ychenik37