Предмет: Химия,
автор: Masha0215
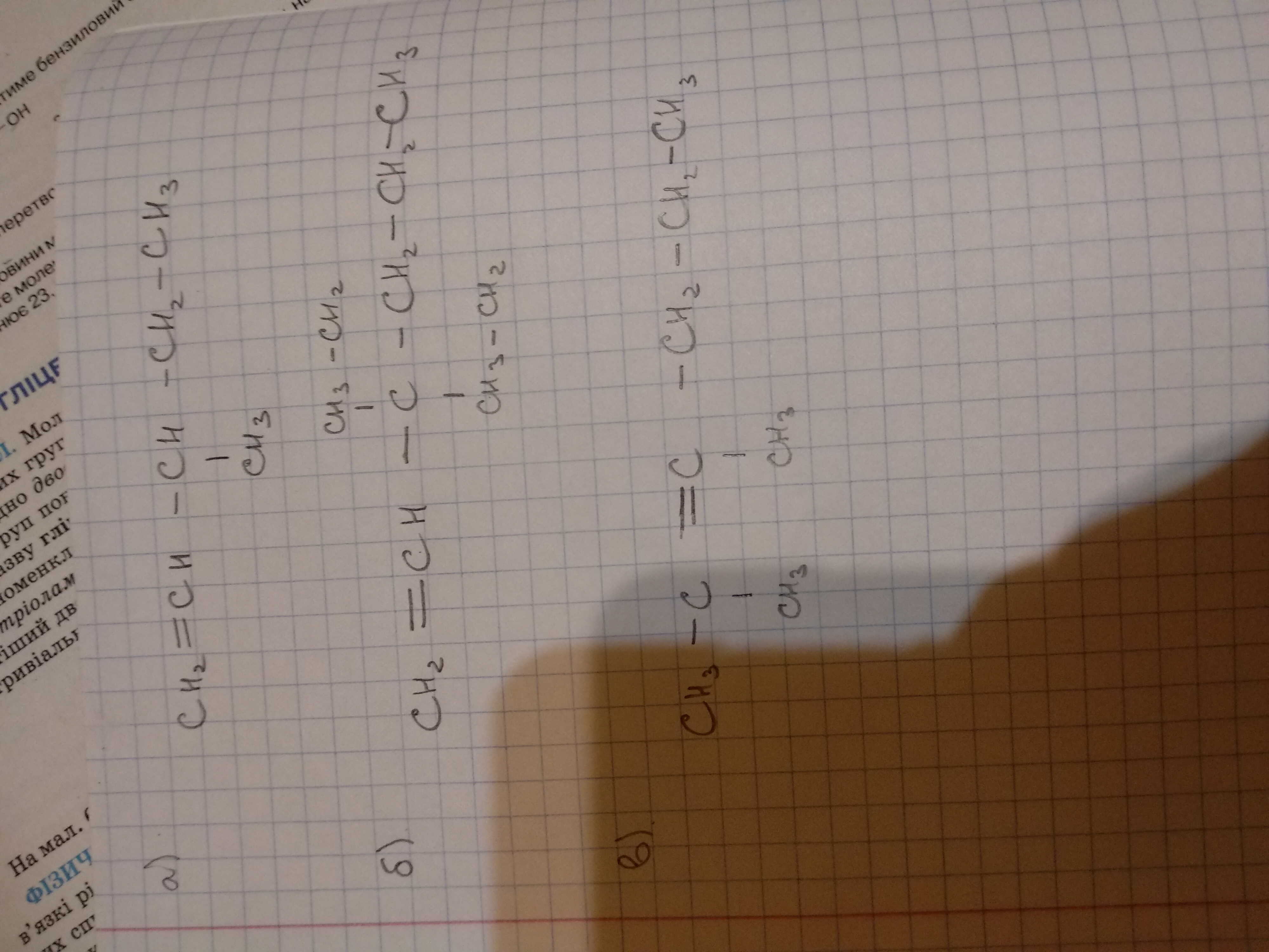
\ Складіть структурні формули молекул:
а) 3-метилпент-1-ену;
б) 3,3-діетилгекс-1-ену;
в) 2,3-диметилгекс-2-ену.
Ответы
Автор ответа:
80
Держи. CH3-CH2 - это C2H5(то бишь, твой этил)
Приложения:
Похожие вопросы
Предмет: География,
автор: cat33335
Предмет: Физика,
автор: foxgray748
Предмет: История,
автор: Аноним
Предмет: Математика,
автор: Xuligan111
Предмет: Математика,
автор: Umnik1234