Предмет: Алгебра,
автор: zhenyacat1725
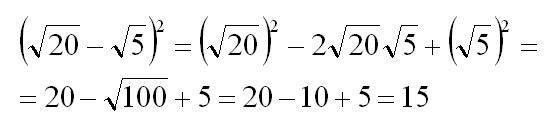
(√20-√5) в квадрате
Ответы
Автор ответа:
1
= решение = решение = решение = решение = решение =
Приложения:
Похожие вопросы
Предмет: Химия,
автор: shdaria17KX
Предмет: Физика,
автор: alua980
Предмет: Физика,
автор: akursakpaev
Предмет: Физика,
автор: alex19984
Предмет: Математика,
автор: nik342