Предмет: Математика,
автор: Санька20011
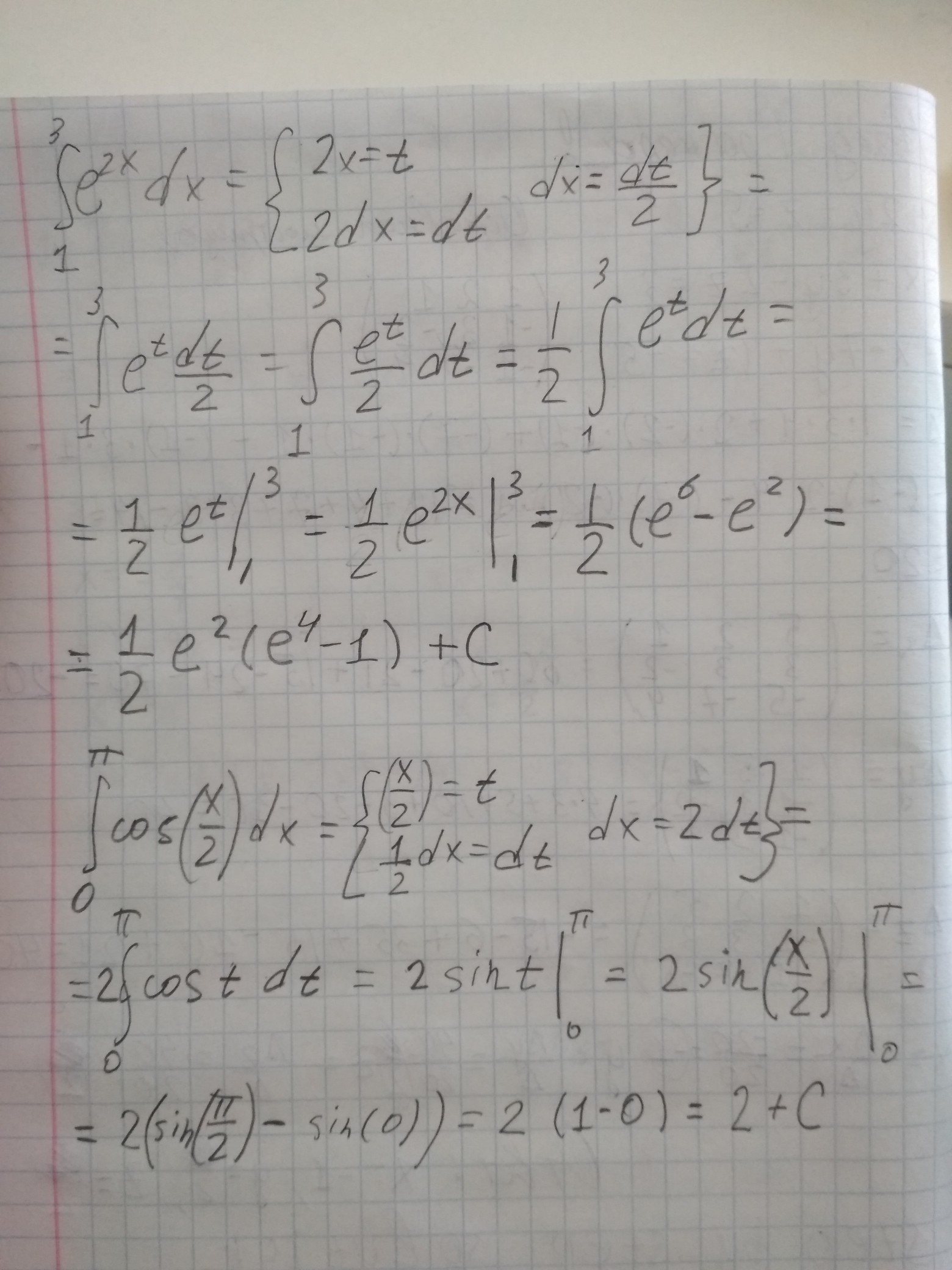
пожалуйста 2-ой метод подстановки. где е и cos пожалуйста, очень срочно надо.
Приложения:
Ответы
Автор ответа:
3
Все ответы проверил.
Все по шагам. :)
Все по шагам. :)
Приложения:
Похожие вопросы