Предмет: Алгебра,
автор: dddd3967
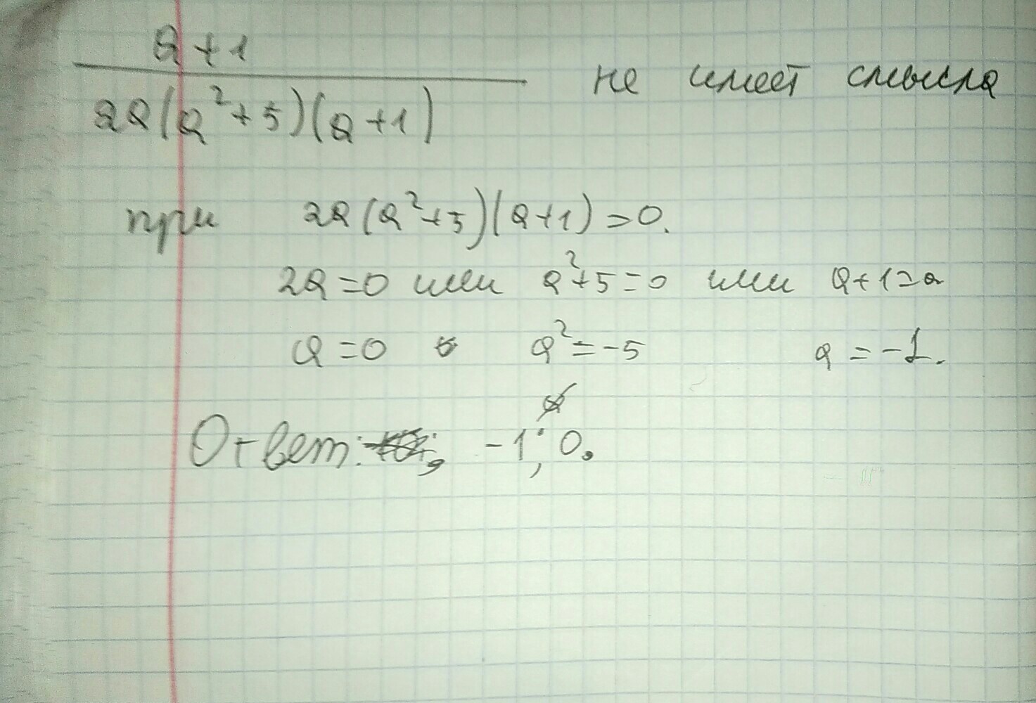
ПОЖАЛУЙСТА , НАДО НАЙТИ ПРИ КАКИХ ЗНАЧЕНИЯХ а выражение ( ниже ) будет НЕ ИМЕТЬ смысла , по ответам должно получиться 0 и -1 , не знаю как ((( Помогите, пожалуйста ((( очень нужно
Приложения:
Ответы
Автор ответа:
1
Держи. Ответ и 0 и -1.
Приложения:
dddd3967:
а при -1 ?
это как
я просто тупой ))
(((
Похожие вопросы
Предмет: Математика,
автор: zstas6851
Предмет: Математика,
автор: kmhe050
Предмет: Информатика,
автор: ekat66215
Предмет: Алгебра,
автор: lokk29