Предмет: Математика,
автор: lolipopopok
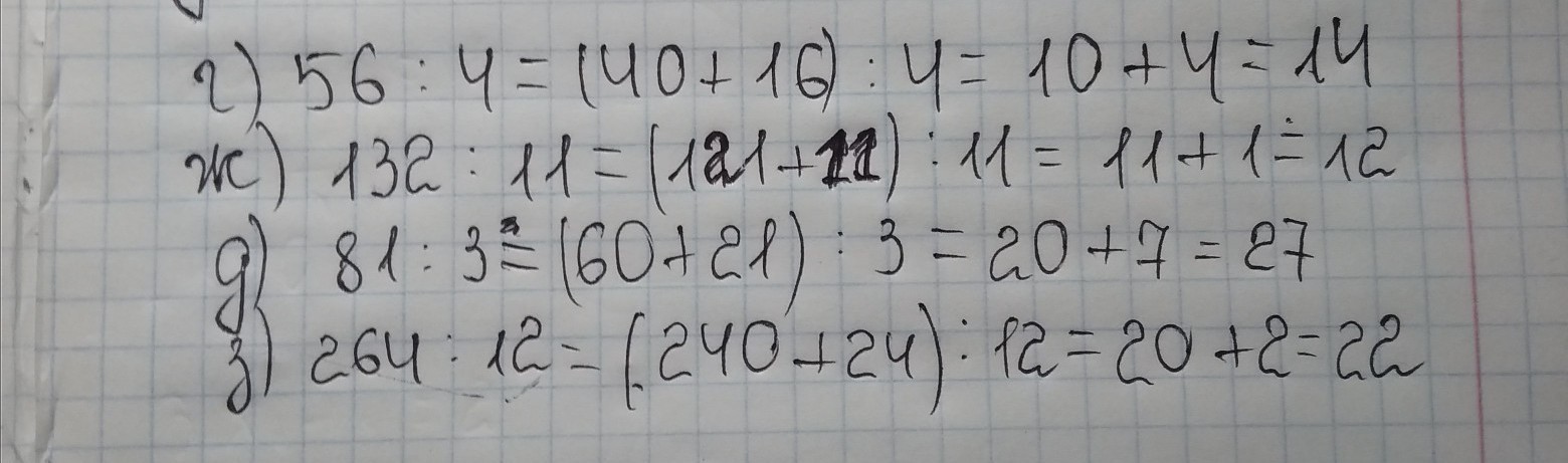
N:190 под бугвами г,ж,д,з
Приложения:
Ответы
Автор ответа:
1
решение прикрепил на фото
Приложения:
Похожие вопросы
Предмет: Биология,
автор: artemzaicev006
Предмет: Қазақ тiлi,
автор: kabduldaevaulzan
Предмет: Биология,
автор: desnaeybuchaya
Предмет: Биология,
автор: fuksirinf784
Предмет: Литература,
автор: memedinova00