Предмет: Алгебра,
автор: nastya5076
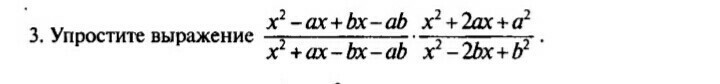
Даю 50 баллов. Очень срочно. Помогите решить.
Приложения:
Ответы
Автор ответа:
1
Решение задания приложено.
Приложения:
Похожие вопросы
Предмет: Алгебра,
автор: asisova557
Предмет: Математика,
автор: Аноним
Предмет: Геометрия,
автор: kddjz
Предмет: Математика,
автор: Nikita7464
Предмет: Математика,
автор: nastiamasluk