Предмет: Алгебра,
автор: hirrasoft2018
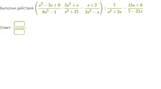
Очень срочно. Помогите.
Приложения:
Ответы
Автор ответа:
1
Похожие вопросы
Предмет: Математика,
автор: abdullaevarumilia
Предмет: Математика,
автор: marinafoxyoyo
Предмет: Алгебра,
автор: Dilagu
Предмет: Геометрия,
автор: AgentGabena
Предмет: История,
автор: Максим711лвпйлд