Предмет: Алгебра, автор: Kamilfg

1.Упростите выражение 

 

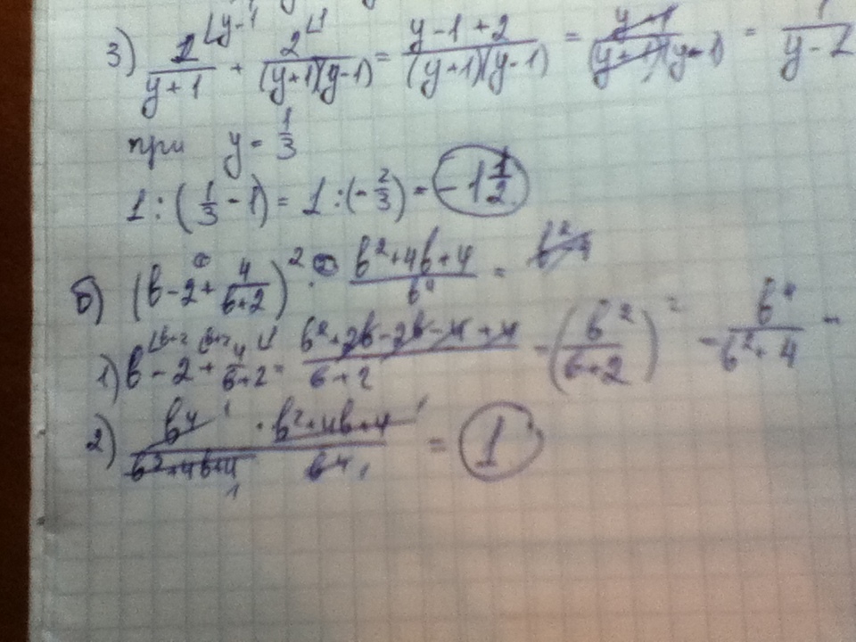
          y-4         1       y + 1              2

а)  ( --------  +   -------  ) :  --------  +    --------     =

         3y-3        y-1         3             y^2-1  

 

и найдите его значение при y =  1

                                                 ---

                                                  3

 

 

2.Докажите, что при всех допустимых значениях переменной значения выражения 

    

                  4              b^2+ 4b + 4 

( b - 2 +  --------- ) ^2  *   -------------------   =

              b + 2                    b^4

 

не зависит от значения переменной.

Ответы

Автор ответа: Насььька
0
сейчас все будетттттт

Приложения:
Автор ответа: Kamilfg
0
- 3 в знаменателе 2 должно получится!
Автор ответа: Kamilfg
0
а поготь незаметил прости всё верно
Похожие вопросы
Предмет: Математика, автор: hohlov2310
Предмет: Математика, автор: asely