Предмет: Математика,
автор: zhanalieva06
Можете помочь!
10 баллов
заранее спасибо!
Приложения:
Ответы
Автор ответа:
1
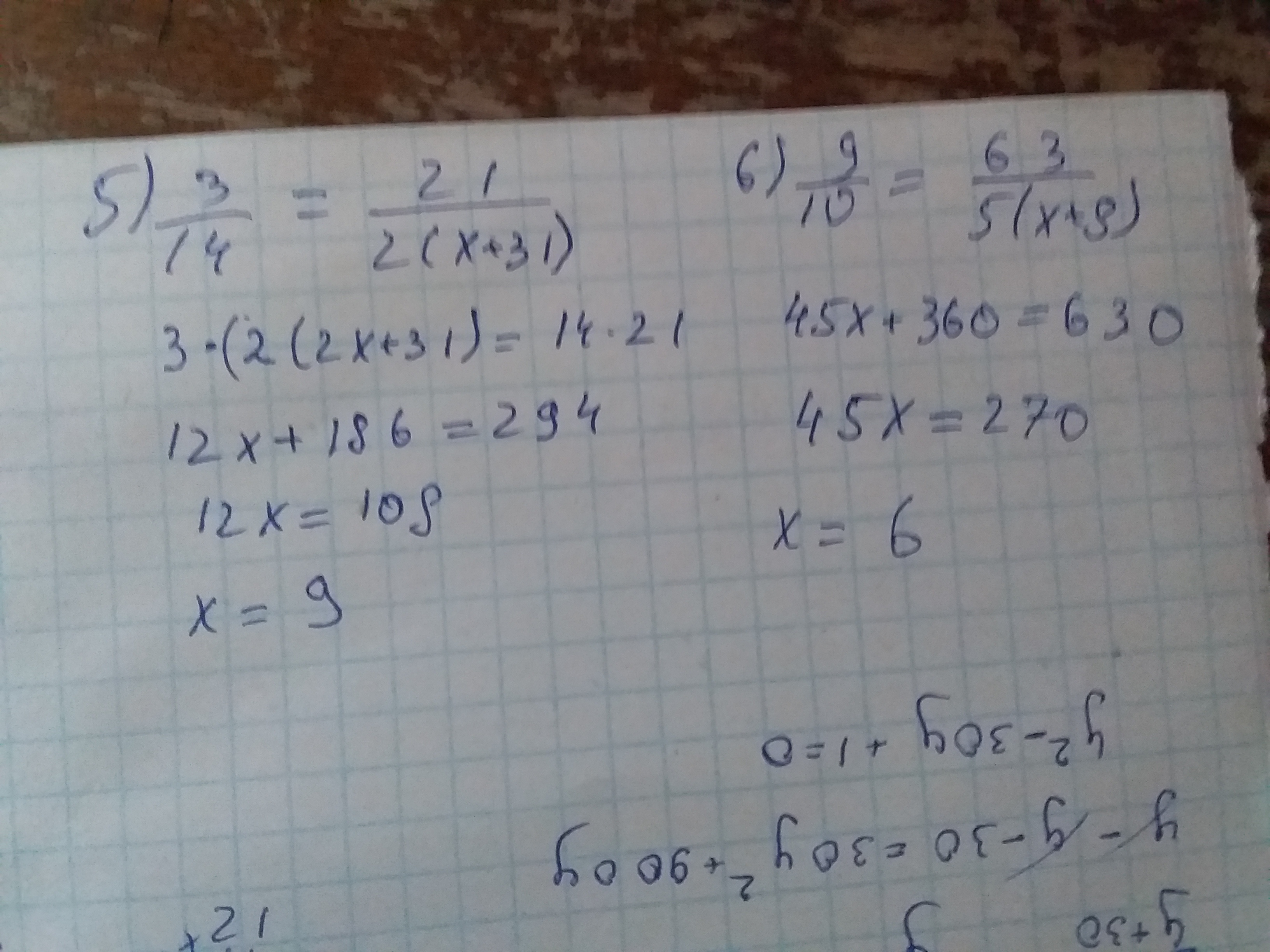
Решение посмотри на фото
Приложения:
zhanalieva06:
спасибо
Автор ответа:
2
крест-накрест
5) 3*2(х+31)=21*14
6х+186=294
6х=294-186
6х= 108
х=108:6
х=18
6) 9*5(х+8)=10*63
45х+360=630
45х=630-360
45х=270
х=270:45
х=6
5) 3*2(х+31)=21*14
6х+186=294
6х=294-186
6х= 108
х=108:6
х=18
6) 9*5(х+8)=10*63
45х+360=630
45х=630-360
45х=270
х=270:45
х=6
тоже спасибо
обращайтесь
Ева
Да?
И я Эва, а не Ева:)
а прости
не за что извиняться
Похожие вопросы
Предмет: Химия,
автор: gmfmfnff
Предмет: Математика,
автор: fres35
Предмет: Алгебра,
автор: ostarbar67
Предмет: Математика,
автор: Korandrew
Предмет: Алгебра,
автор: centrius