Предмет: Математика,
автор: daria9243
помогите пж пж срочно
Приложения:
Ответы
Автор ответа:
1
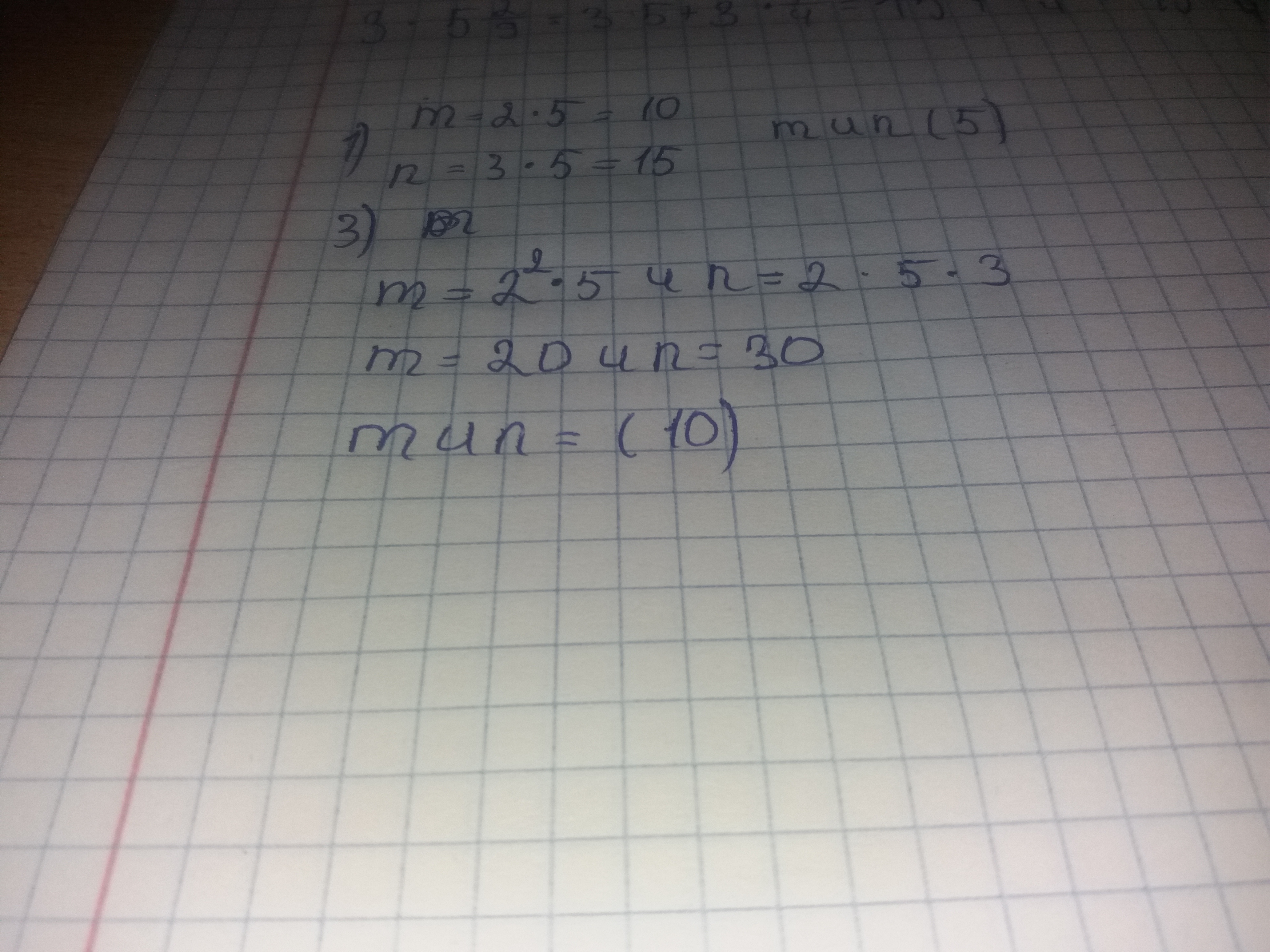
Это все что я сделал
Приложения:
Похожие вопросы
Предмет: Математика,
автор: evakoldovskaa
Предмет: Математика,
автор: annalukyanova2222
Предмет: Алгебра,
автор: vytkalovaxenia
Предмет: Алгебра,
автор: centrius
Предмет: Биология,
автор: Аноним