Предмет: Алгебра,
автор: osipovkirill02
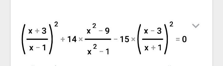
Здравствуйте, вот такой пример, решить я его могу, но получается очень большое решение, учитель сказал что нужно сократить как не понимаю. Помогите пожалуйста, если можно с подробным решением. Главное с ОДЗ. Спасибо )
Приложения:
oganesbagoyan:
однородное уравнение второго порядка
Ответы
Автор ответа:
1
!!!!!!!!!!!!!!!!!!!!!!!!
Приложения:
Похожие вопросы
Предмет: Физика,
автор: kudzaju
Предмет: Алгебра,
автор: kirillsushkov08
Предмет: Физкультура и спорт,
автор: inna8901
Предмет: Геометрия,
автор: macksi2014