Предмет: Математика,
автор: balabanova200024
Помогите ,СРОЧНО!!!!
Приложения:
Ответы
Автор ответа:
0
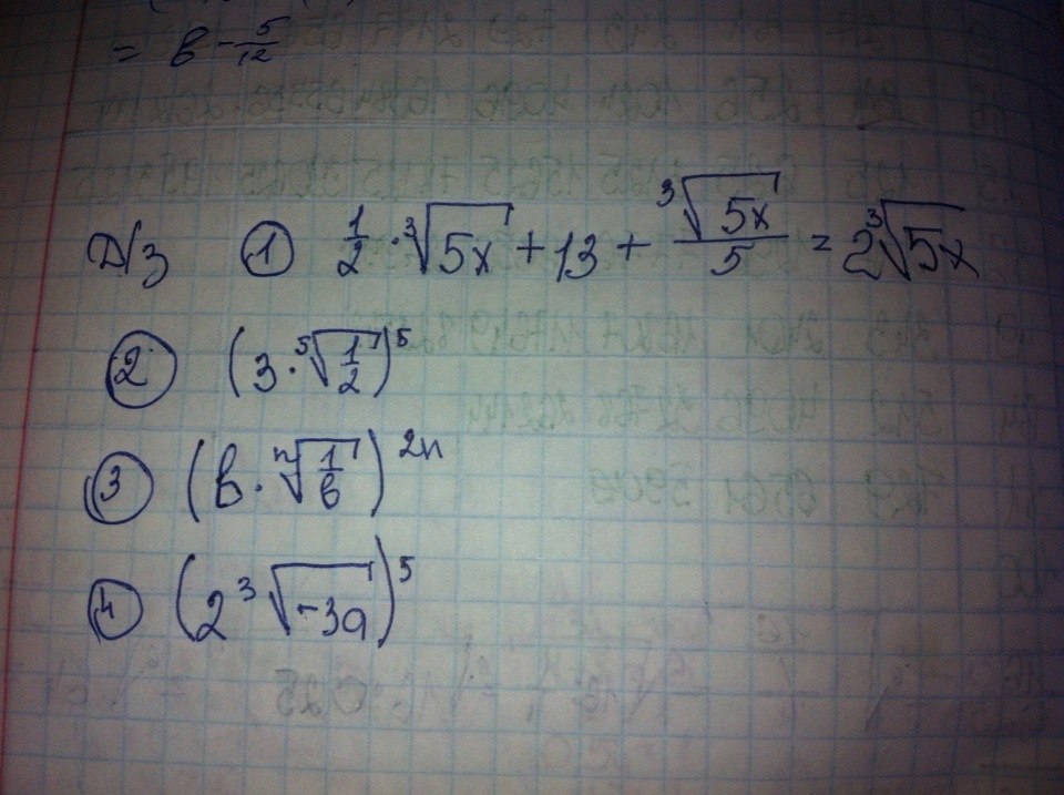
1)1/2*(корень 3 степени из 5*х)+13+(корень 3 степени из 5*х)/5=2*(корень 3 степени из 5*х) умножаем обе части на 10
5(корень 3 степени из 5*х)+130+2(корень 3 степени из 5*х)=20(корень 3 степени из 5*х)
130=13(корень 3 степени из 5*х)
10=(корень 3 степени из 5*х)
1000=5*х
х=200
2)(3*(корень 5 степени из 1/2))^5=3^5*1/2=243/2=121,5
3)(b*(корень n степени из 1/b))^2n=b^2n*b^-2=b^2n-2 b больше 0
4)(2^3*(корень 2 степени из (-3*а))^5=2^15*(корень 2 степени из (-3*а)^5) а меньше либо =0
5(корень 3 степени из 5*х)+130+2(корень 3 степени из 5*х)=20(корень 3 степени из 5*х)
130=13(корень 3 степени из 5*х)
10=(корень 3 степени из 5*х)
1000=5*х
х=200
2)(3*(корень 5 степени из 1/2))^5=3^5*1/2=243/2=121,5
3)(b*(корень n степени из 1/b))^2n=b^2n*b^-2=b^2n-2 b больше 0
4)(2^3*(корень 2 степени из (-3*а))^5=2^15*(корень 2 степени из (-3*а)^5) а меньше либо =0
Похожие вопросы
Предмет: Математика,
автор: faceitpromy
Предмет: Қазақ тiлi,
автор: vlada30072002
Предмет: Физика,
автор: snprgost
Предмет: Литература,
автор: sends
Предмет: Алгебра,
автор: Юлі4каЮлі4ка