Предмет: Алгебра,
автор: lelikbalelik
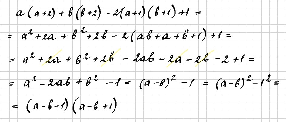
разложите на множители a(a+2)+b(b+2)-2(a+1)(b+1)+1
Спасайте!
Ответы
Автор ответа:
1
Решение в прикрепленном файле.
Приложения:
Похожие вопросы
Предмет: Английский язык,
автор: arsenijkolev
Предмет: Қазақ тiлi,
автор: ernarbomj2929
Предмет: Русский язык,
автор: muhamedhan644
Предмет: Математика,
автор: Miracle20004
Предмет: Алгебра,
автор: irazelik23