Предмет: Геометрия,
автор: brovareculia
ОЧееееень срочно. Заранее большое спасибо!
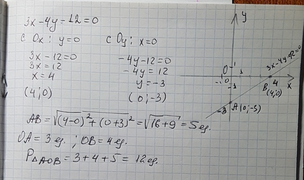
Знайдіть периметр трикутника обмеженого осями координат і прямою 3х-4у-12=0
Ответы
Автор ответа:
3
решение задания смотри на фотографии
Приложения:
brovareculia:
Спасибо!
пожалуйста
Похожие вопросы
Предмет: История,
автор: ikuzmenkov31
Предмет: Русский язык,
автор: Nata9922
Предмет: Литература,
автор: Аноним
Предмет: Математика,
автор: klove99
Предмет: Алгебра,
автор: linacot2000