Предмет: Математика,
автор: ComeTimes
Помогите решить пример. Срочно пожалуйста!!!!
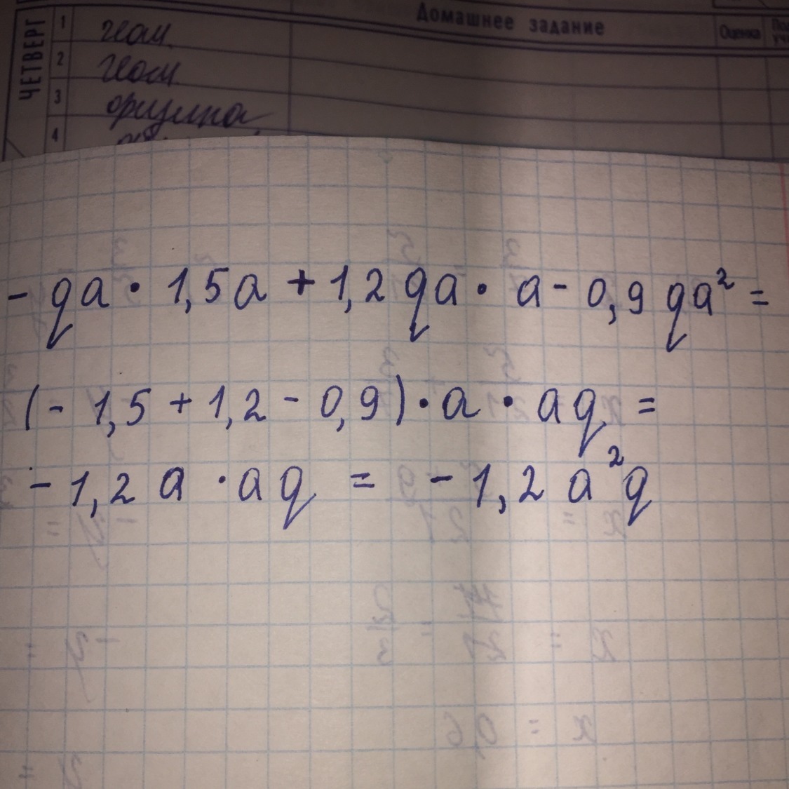
-qa*1,5a+1,2qa*a-0,9qa^2
Распишите еще
Ответы
Автор ответа:
0
В общем ,тут все понятно )
1)сначала -qa и qa сокращаем
2)потом цифры заключаем в скобки
3) и считаем
1)сначала -qa и qa сокращаем
2)потом цифры заключаем в скобки
3) и считаем
Приложения:
Похожие вопросы
Предмет: Русский язык,
автор: Аноним
Предмет: Геометрия,
автор: VITALIKE00
Предмет: Алгебра,
автор: jdjdhdgdggdh7635
Предмет: Математика,
автор: darena03
Предмет: Физика,
автор: denisolenison