Предмет: Математика, автор: Alinakotik20061115

Срочно помогите пожалуйста умоляю

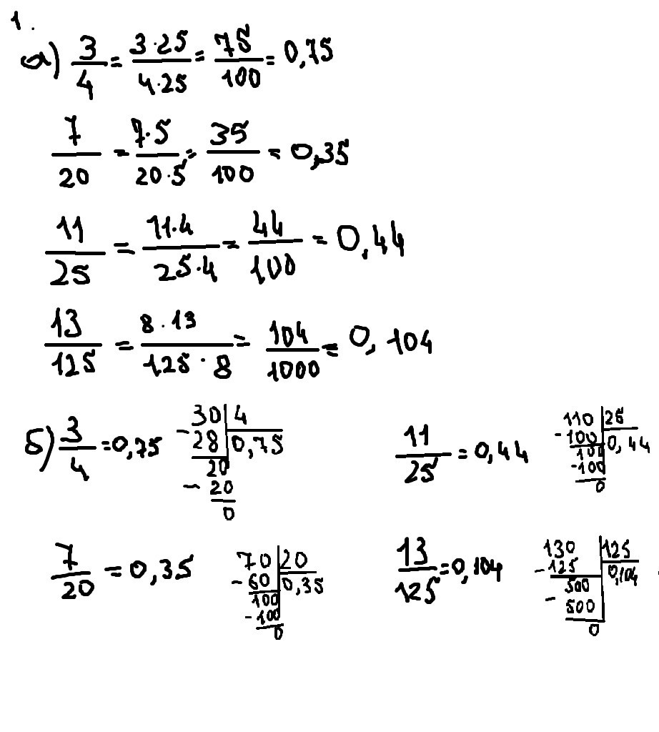
Приложения:

Ответы

Автор ответа: dolumanya
0
1) 0,75 0,35 0,44 0,104
2) 3,75 0,224 0,218 0,54

Alinakotik20061115: Да спасибо,мне за такую домашку два поставят
dolumanya: 3) 0,06 0,27 0,0003 0,00008 0,000012
Автор ответа: mscoolness
2

Старалась подробнее

Приложения:
Похожие вопросы
Предмет: Английский язык, автор: Аноним
срочно люди помогите домашне з англійської якщо відповідь нормальна і правильна дам 100 балів
1 Match the computer expressions with their meanings.
upload information / encode / browse the Web / download information /
hack into a computer / bounce an e-mail / install software / surf the net
1 … - visit different websites
2 … - visit web pages for a particular purpose
3 … - copy fi les to your computer from the Internet
4 … - send fi les to the Internet or other Internet users
5 … - return a message
6 … - change into a form suitable for computer processing
7 … - put a program into use
8 … - access illegally
Grammar
2 Choose the correct answer.
1 You can’t get access to the programme until you … your log in.
a) will register b) have register c) registered
2 We had been using land-lines until cellular phones … .
a) have appeared b) appear c) appeared
3 They won’t return their books until they … them all.
a) have read b) will read c) won’t read
4 We will take the dog for a walk when it … raining.
a) will stop b) stops c) stopped
5 Will you explain the problem when she … here?
a) have arrived b) arrives c) will arrive
6 When I … time, I’ll paint the house.
a) have had b) will have c) have
7 I won’t get married until I … a job.
a) will get b) get c) got
8 When I … next June, I will have been working for this company
for 25 years.
a) retire b) will retire c) will have retired