Предмет: Алгебра,
автор: coshhhhhh
умоляю решите
очень срочно
Приложения:
Ответы
Автор ответа:
0
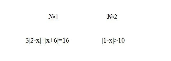
х меньше -6, 6-3х-х-6=16-4х=16
х=-4 ,не совпадает с областью.
х между -6 и 2 6-3х+х+6=16 -2х=4 х=-2, это годится.
х больше 2 -6+3х+х+6=16 4х=16 х=4 из данной области. значит два решения х=-2 и х=4
ответ : х=-2 , х=4
Похожие вопросы
Предмет: Русский язык,
автор: sergermari1
Предмет: Математика,
автор: aizereolzhagulova
Предмет: Биология,
автор: dahyun50
Предмет: История,
автор: Gfafas1
х больше 1 , х-1 больше 10 , х больше 9
ответ : Х больше 9 или Х меньше-9.