Предмет: Геометрия,
автор: anar548
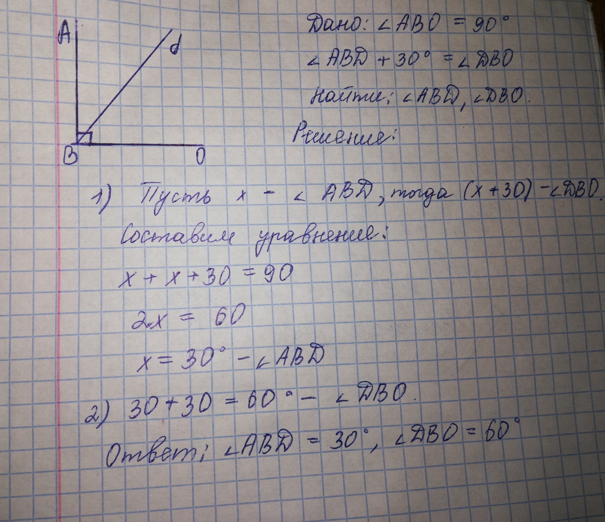
луч bd делит прямой угол ABO на 2 угла один из которых на 30° меньше другого. Найдите образовавшиеся углы
Ответы
Автор ответа:
1
если нужно с "дано","найти" решением,то пожалуйста)
Приложения:
Похожие вопросы
Предмет: Математика,
автор: yulyagrishko00
Предмет: Українська мова,
автор: alinamalunuch548
Предмет: Физика,
автор: ulanavirbitskaa
Предмет: Физика,
автор: mariya1009o
Предмет: Математика,
автор: sveta2804