Предмет: Алгебра,
автор: vadik46
решите задания...........
Приложения:
Ответы
Автор ответа:
0
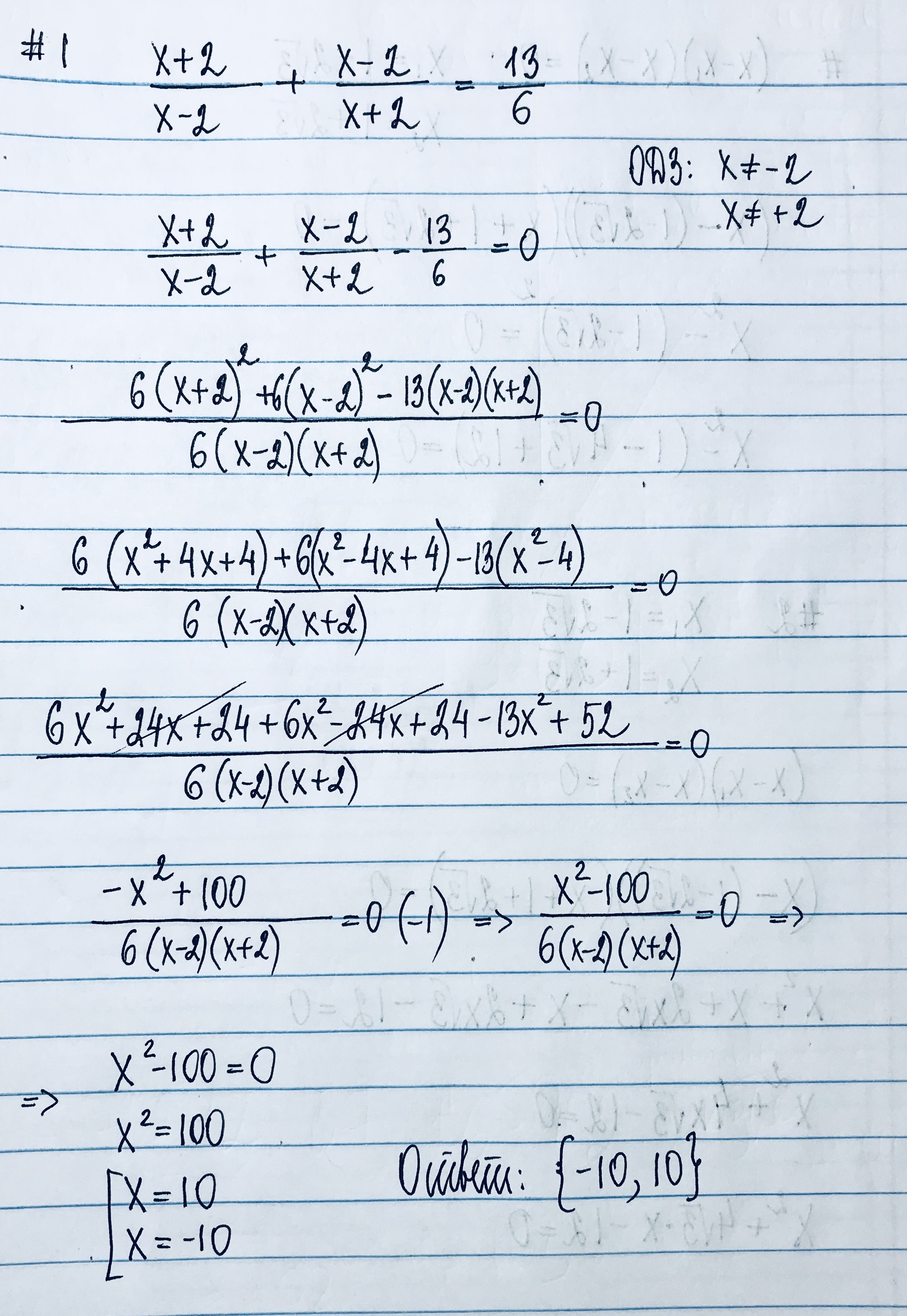
Ловите решение всех трёх. Удачи!
Приложения:
Похожие вопросы
Предмет: Русский язык,
автор: steshageorgiadi8
Предмет: Математика,
автор: svetlanalvovna49
Предмет: Математика,
автор: kariqu33n
Предмет: Математика,
автор: Рома543
Предмет: Биология,
автор: Alena74737