Предмет: Алгебра,
автор: marthavinogradoyueme
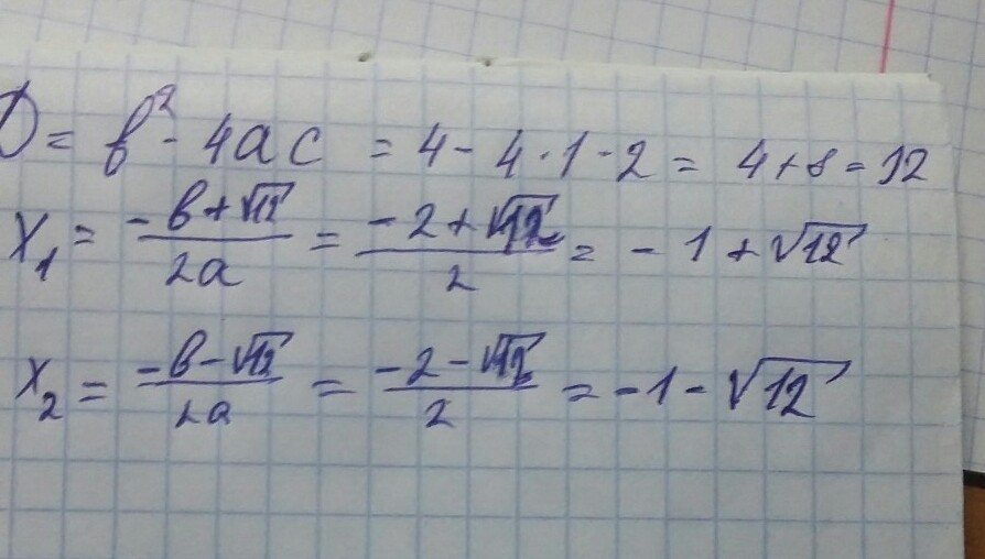
Помогите решить: logπ (x^2+2x-2)=0
Ответы
Автор ответа:
2
вот надеюсь помогу. сорян за непонятный почерк
Приложения:
Похожие вопросы
Предмет: Химия,
автор: volohovaana7
Предмет: Математика,
автор: darkvitia14dark
Предмет: Геометрия,
автор: Zhumamuratovazahra
Предмет: Геометрия,
автор: snax2281337
Предмет: Алгебра,
автор: Kriminal23