Предмет: Алгебра, автор: Murakot

Решите систему уравнений, пожалуйста. 10 класс, способ подстановки тут явно не сработает. Даю достаточное количество баллов, решение должно быть подробное. Сделаю лучшим ответом. Ответы должны получиться (0;0), (1;1)

Приложения:

Ответы

Автор ответа: d3782741
1

Не знаю чем не понравился способ подстановки, всё нормально работает. Конечно, может есть метод и попроще, но и этот нормален.

\begin{cases}x+2y=3y^2\smallskip\\2x+y=3x^2\end{cases}\medskip\\1)~x+2y=3y^2\Rightarrow x=3y^2-2y\medskip\\2)~2x+y=3x^2\medskip\\2(3y^2-2y)+y=3{\left(3y^2-2y\right)}^2\medskip\\6y^2-4y+y=3\left(9y^4-12y^3+4y^2\right)\medskip\\-27y^4+36y^3+6y^2-12y^2-3y=0\mid~:(-3)\medskip\\9y^4-12y^3+2y^2+y=0\medskip\\y\left(9y^3-12y^2+2y+1\right)=0\medskip\\y_1=0 \Rightarrow 9y^3-12y^2+2y+1=0

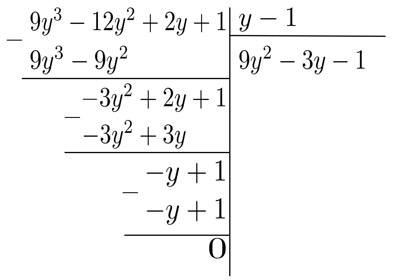
Здесь, если кубическое уравнение имеет целые корни, то все они - делители свободного члена. В нашем случае либо 1, либо -1. Проверкой находим y_2=1. Далее столбиком делим кубическое уравнение на линейное. (см. приложение)

\dfrac{9y^3-12y^2+2y+1}{y-1}=9y^2-3y-1

9y^2-3y-1=0\medskip\\y_{3,4}=\dfrac{3\pm\sqrt{9+36}}{18}=\dfrac{3\pm\sqrt{45}}{18}=\dfrac{3\pm3\sqrt{5}}{18}=\dfrac{1\pm\sqrt{5}}{6}\medskip\\y_3=\dfrac{1-\sqrt{5}}{6}\medskip\\y_4=\dfrac{1+\sqrt{5}}{6}

3)~x=3y^2-2y\medskip\\x_1=3\cdot 0^2-2\cdot 0=0\medskip\\x_2=3\cdot 1-2\cdot 1=1\medskip\\x_3=3{\left(\dfrac{1-\sqrt{5}}{6}\right)}^2-2{\left(\dfrac{1-\sqrt{5}}{6}\right)}=\dfrac{3(1-2\sqrt{5}+5)}{36}-\dfrac{2(1-\sqrt{5})}{6}=\medskip\\=\dfrac{1-2\sqrt{5}+5-4+4\sqrt{5}}{12}=\dfrac{2+2\sqrt{5}}{12}=\dfrac{1+\sqrt{5}}{6}

Далее, позволю себе заявить, что x_4=\dfrac{1-\sqrt{5}}{6}, поскольку находим решения симметрических многочленов (если не веришь, можешь посчитать x_4 руками).

Ответ. (0;0),~(1;1),~\left(\dfrac{1+\sqrt{5}}{6};\dfrac{1-\sqrt{5}}{6}\right),~\left(\dfrac{1-\sqrt{5}}{6};\dfrac{1+\sqrt{5}}{6}\right)

Приложения:

Murakot: Спасибо большое <3 Способ подстановки не то чтобы не понравился, просто посчитала неправильно, кажется. Получилось уравнение без свободного члена. Это меня и озадачило. Спасибо ещё раз)
Похожие вопросы
Предмет: Математика, автор: astaninvlad