Предмет: Алгебра,
автор: miky4
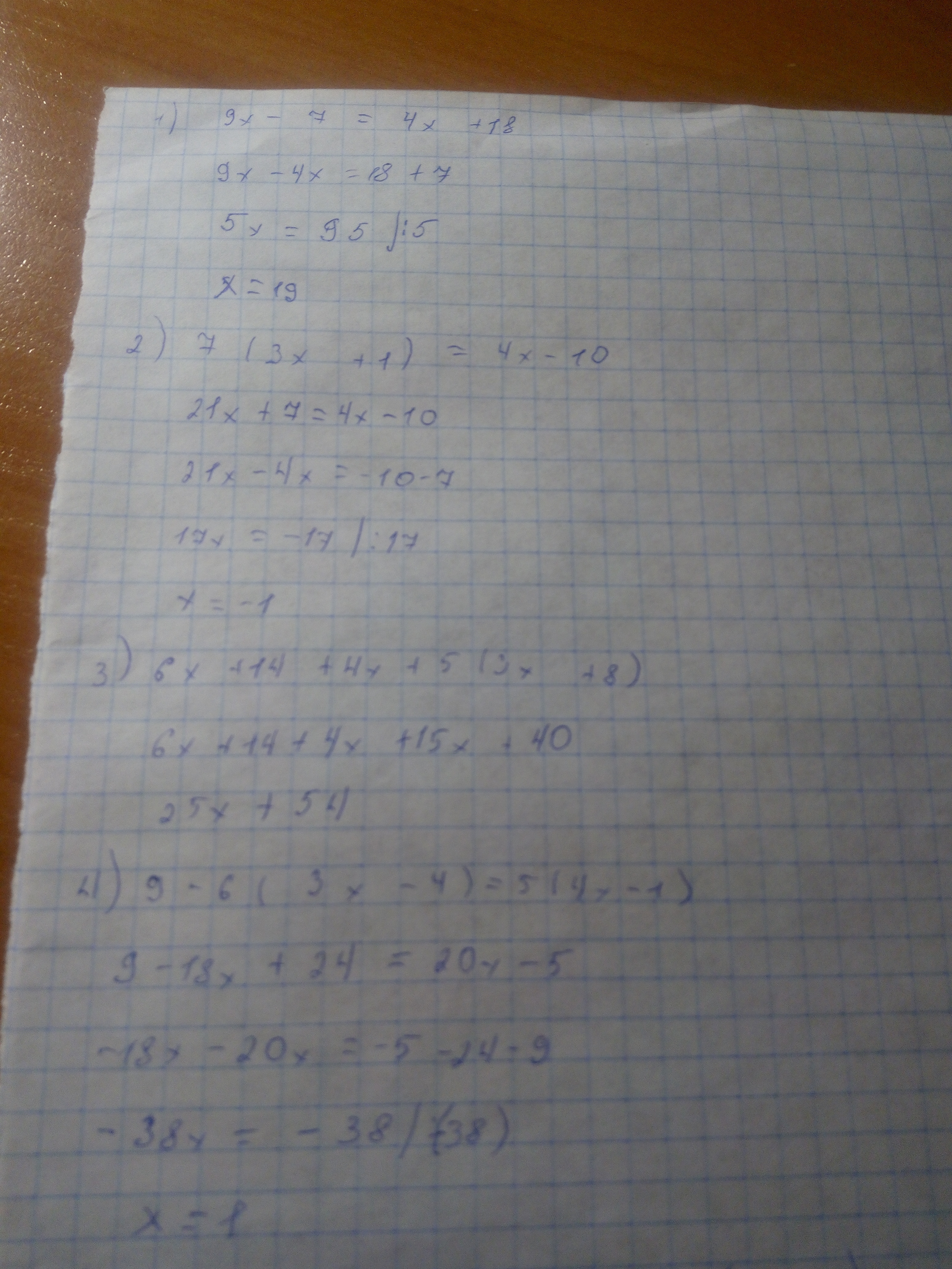
решите уравнения, срочно, реально умоляю
Приложения:
Ответы
Автор ответа:
1
я там сразу раскрывал скобки)
Приложения:
miky4:
братик, хорош, лучший!!!
Автор ответа:
0
На счёт 6 я не уверена
Приложения:
Похожие вопросы
Предмет: Русский язык,
автор: Аноним
Предмет: Алгебра,
автор: dinislamkhhhabilov
Предмет: Русский язык,
автор: kurdar79
Предмет: Математика,
автор: Полик001
Предмет: Математика,
автор: ХодячихВиктория