Предмет: Математика,
автор: PomogiSolnce
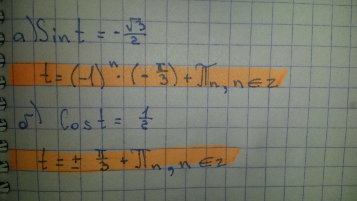
Здравствуйте,лапушки.Помогите с тригометрическими уравнениями.Объясните как решать:
а)•sin t=-√3/2;
б)•cos t=1/2.
Ответы
Автор ответа:
0
Попробуй как нибудь так)
Приложения:
Похожие вопросы
Предмет: Немецкий язык,
автор: darinapelesko
Предмет: Английский язык,
автор: prostojackie
Предмет: Химия,
автор: egorcistakov710
Предмет: Геометрия,
автор: daniil100241