Предмет: Алгебра, автор: anastasia2489

помогите сокращение дробей с квадратным корнем пожалуйста

Приложения:

Ответы

Автор ответа: Zcnayper
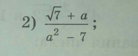
1

√7 +a/(a-√7)*(a+√7)=   1/a-√7

Похожие вопросы
Предмет: Алгебра, автор: darinakhmetova2008
Предмет: Русский язык, автор: Аноним
Мне весело.

А) душевное состояние человека

Б) физическое состояние человека

В) состояние природы

Г) состояние окружающей среды



Выберите значение слова категории состояния.

Сегодня ветрено.

А) состояние природы

Б) физическое состояние человека

В) душевное состояние человека

Г) состояние окружающей среды

Выберите значение слова категории состояния.

В лесу чисто.

А) физическое состояние человека

Б) душевное состояние человека

В) состояние природы

Г) состояние окружающей среды



Выберите примеры со словами категории состояния.

А) На улице становилось теплее.

Б) Зарево становилось бледнее.

В) Река течёт спокойно.



Г) Вокруг тихо.

Выберите примеры со словами категории состояния.

А) Стало темно

Б) Спокойно делаем свою работу.

В) Темно в глазах.

Г) Озеро спокойно.

Прочитайте текст. Выделите слова категории состояния.

Стыдно и больно, что так непонятно
Светятся эти туманные пятна,
Словно неясно дошедшая весть…
Всё бы, ах, всё бы с собою унесть!
(А. А. Фет)

Прочитайте текст. Выделите слова категории состояния.

На холмах Грузии лежит ночная мгла:
Шумит Арагва предо мною.
Мне грустно и легко. Печаль моя светла.
Печаль моя полна тобою…
(А. С. Пушкин)

синий

Выберите неверное утверждение.

А) Слова категории состояния употребляются в предложении с глаголами быть, становиться, делаться.

Б) Категория состояния может обозначать состояние природы.

В) Слова категории состояния в предложении могут быть сказуемыми и обстоятельствами.

Г) Слова категории состояния, как и наречия, не изменяются.
Предмет: Математика, автор: Аноним