Предмет: Алгебра,
автор: rox1
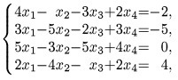
Записать систему в матричной форме, решить её методом Крамера, считая определитель системы △ приведением к треугольному виду, определители △1, △2, △3 — получив предварительно нули соответственно в 1, 2, 3 строке, △4 — разложив его по 4 столбцу. Сделать проверку решения.
Приложения:
Ответы
Автор ответа:
1
Решение на фотографии
Проверку сделаете сами:)
Приложения:
Похожие вопросы
Предмет: Алгебра,
автор: veronikatokar111
Предмет: Математика,
автор: sevaramirzabayeva
Предмет: Литература,
автор: lastdaybrawlstars
Предмет: Математика,
автор: Аноним
Предмет: Биология,
автор: MarfaMelisa