Предмет: Математика,
автор: romochkapanteleev97
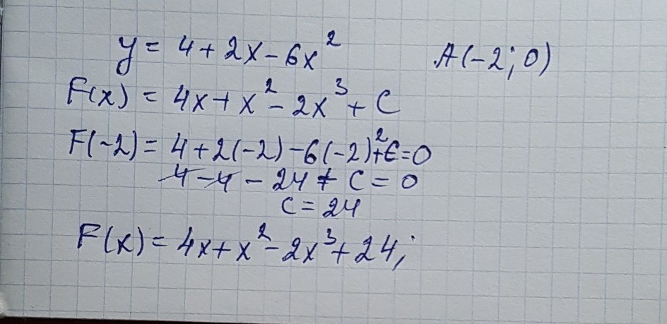
для функции у=4+2х-6х^2 найдите первообразную график которой проходит через точку А(-2;0)
Ответы
Автор ответа:
0
решение задания смотри на фотографии
Приложения:
Похожие вопросы
Предмет: География,
автор: lanasamburskaia
Предмет: Математика,
автор: fkumargazhina
Предмет: Литература,
автор: kIiwnx
Предмет: Математика,
автор: Nika270831