Предмет: Геометрия,
автор: Аноним
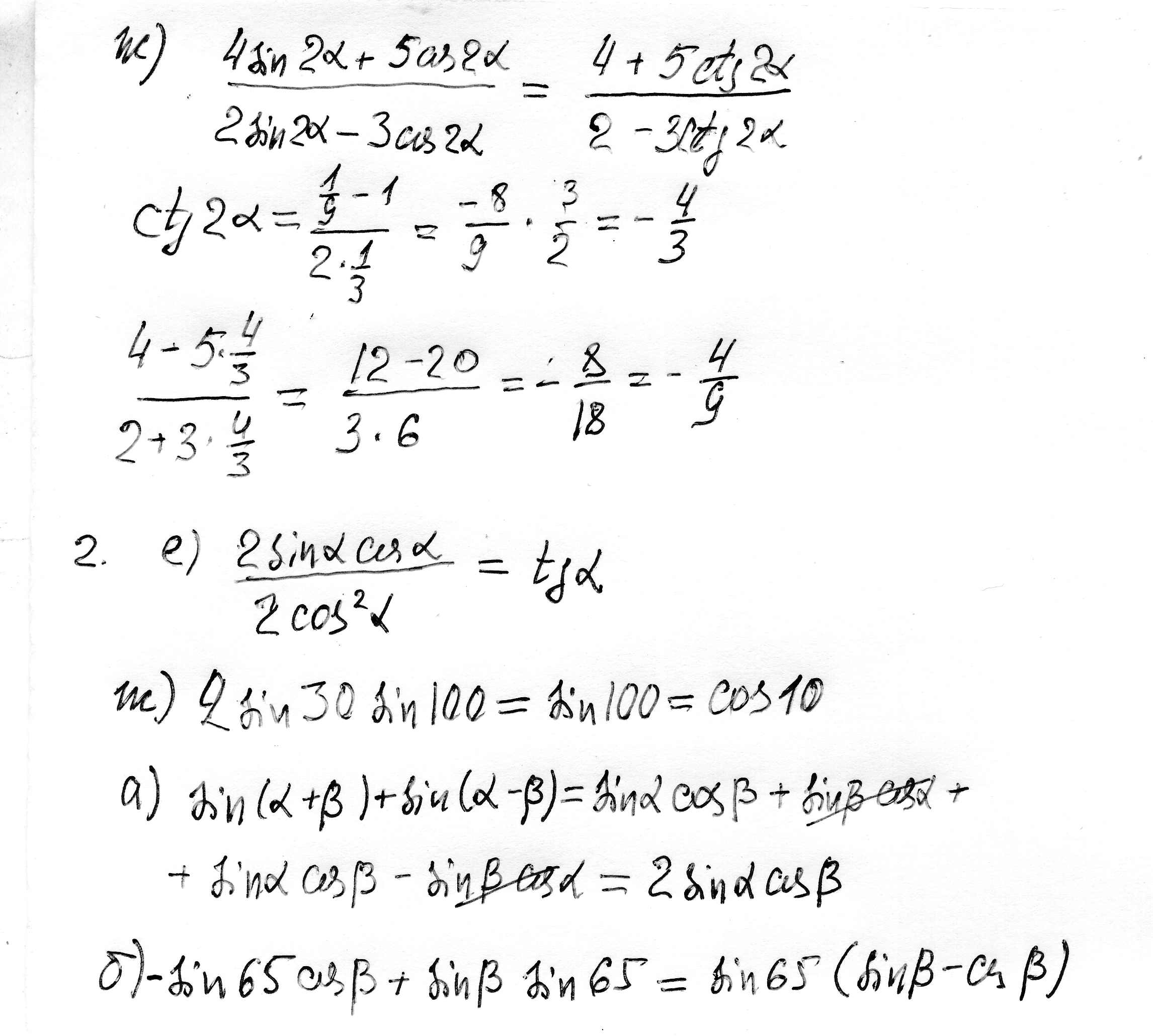
СРОЧНО РЕБЯТА РЕШИТЕ ПОЖАЛУЙСТА ХОТЯБЫ 1 И 2 НОМЕР!!! ЗАРАНЕЕ СПАСИБО!
Приложения:
Ответы
Автор ответа:
0
решение разместил в файле
Приложения:
Похожие вопросы
Предмет: Английский язык,
автор: nachtischsll
Предмет: Физика,
автор: cencarinacacu
Предмет: Алгебра,
автор: olivisims
Предмет: Математика,
автор: Natusik130883