Предмет: Алгебра, автор: kukushka1477

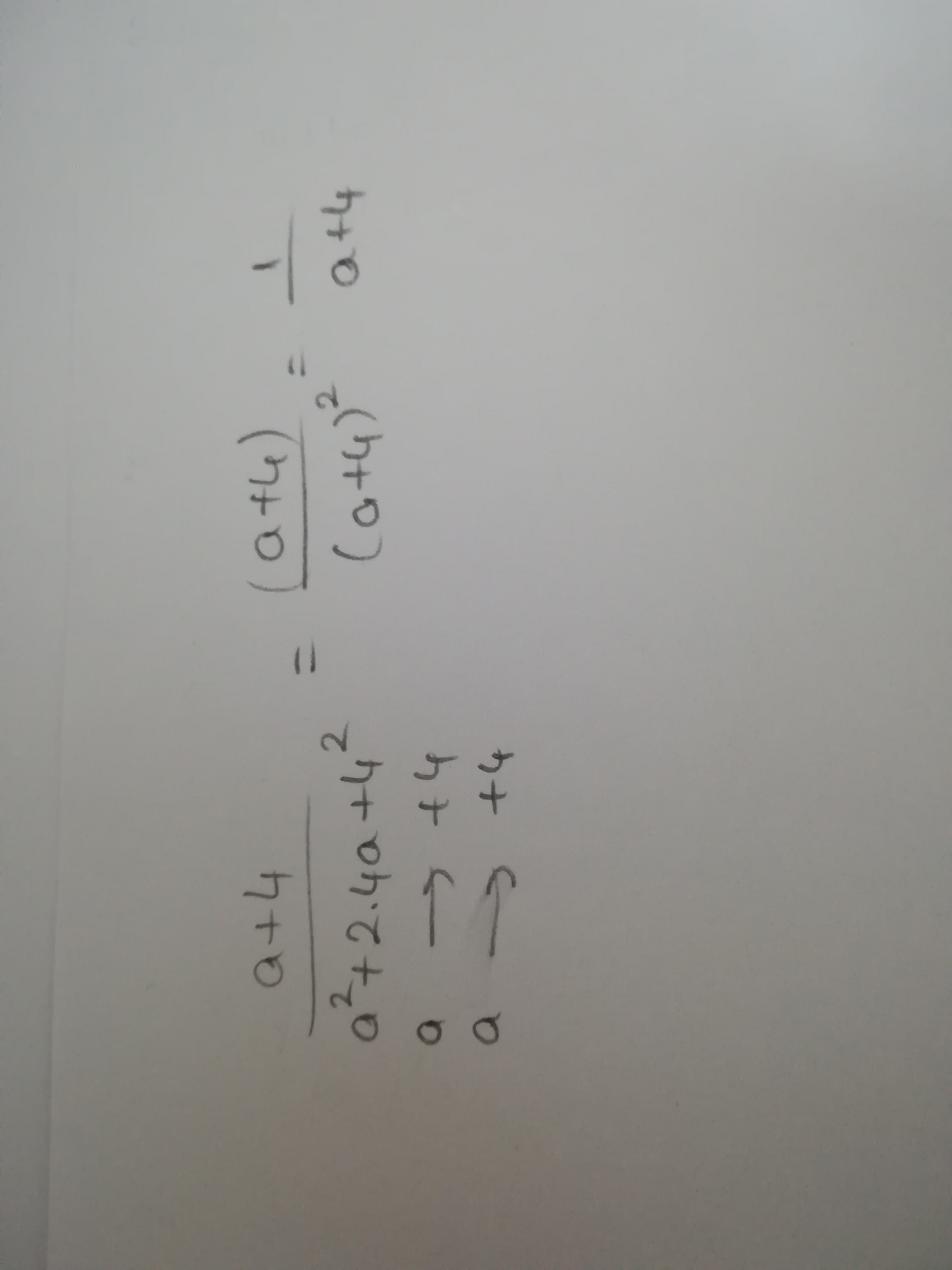
Сократите дробь

4+a/a^2+8a+16


С решением.


TheRusIlya: вопрос а / это дробь?
kukushka1477: Да

Ответы

Автор ответа: Mirage86
2

I hope this helps you

Приложения:
Автор ответа: Universalka
2

\frac{4+a}{a^{2}+8a+16}=\frac{4+a}{(a+4)^{2}}=\frac{1}{a+4}

Похожие вопросы
Предмет: География, автор: ericgasan53
Предмет: Математика, автор: Bloodain