Предмет: Математика, автор: yanavovk1

Очень срочно, распишите решение всех уравнений, плиз! Было бы отличненько если фото!

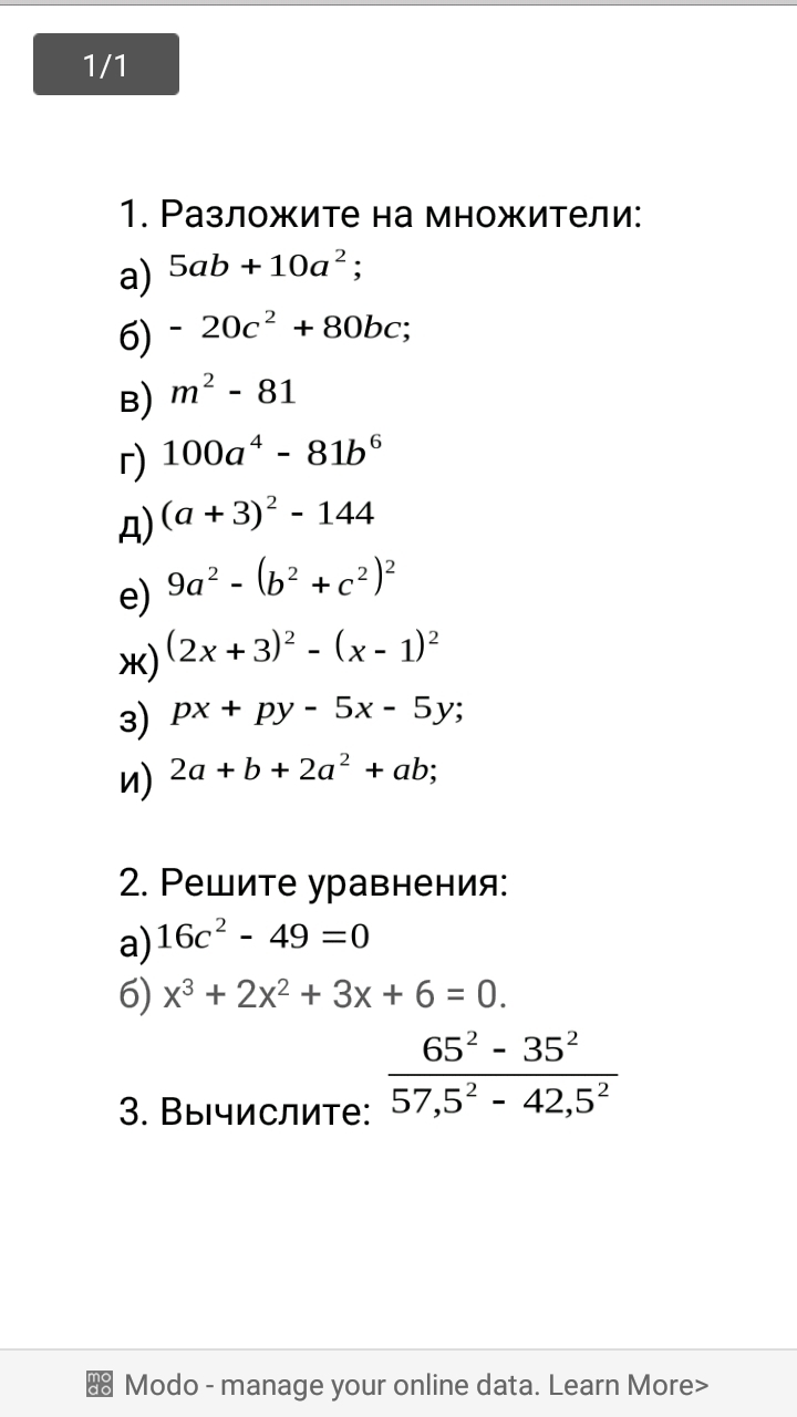
Приложения:

Ответы

Автор ответа: j200410
0
в последнем квадрат не может равняться отрицательном числу
Приложения:
Похожие вопросы
Предмет: Алгебра, автор: veronukakek566
Предмет: Алгебра, автор: Аноним