Предмет: Информатика,
автор: ПОМ4ГИТЕ
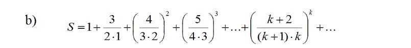
оператор Until. Вычислить сумму с точность до e. Точность достигается, когда очередное слагаемое получается <= e.
Приложения:
Ответы
Автор ответа:
1
var
e0, s: real;
k: integer;
a: array [0..10000] of real;
begin
readln(e0);
k := 0;
a[0] := 1;
repeat
a[k + 1] := power(((k + 2) / ((k + 1) * k)), k);
s := a[k] + a[k + 1];
inc(k);
until (a[k] <= e0);
writeln(s:0:3);
end.
Похожие вопросы
Предмет: Алгебра,
автор: 12freshik12
Предмет: Литература,
автор: chebyrek6098
Предмет: Алгебра,
автор: alinastarunova2008
Предмет: Математика,
автор: BhkdjKim
Предмет: Обществознание,
автор: Карантир