Предмет: Алгебра,
автор: Миша12121
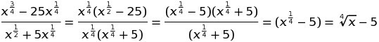
Сократить дробь

aykokult:
фото скиньте
а то не понятно
Извините, но на фото ещё хуже. Обновите страницу, там должна дробь высветиться. Вот у меня показана
знаменатель там пусто?
знаменатель(x^(1/2) + 5x^(1/4)
Ответы
Автор ответа:
1
Ответ:
Приложения:
Потому что я ее не вижу
сейчас я правильно решу а балл как будет
Что?
ой извиняюсь
там правильно
Извините, а как из x^3/4 получилось x^1/4(x^1/2...?
Ну а что тут пояснять? Вынесение множителя за скобки
x^(3/4)=x^(2/4+1/4)=x^(1/2+1/4)=x^(1/2)*x^(1/4)
Благодарю
если обратно открываете скобку то получите первый вид
Похожие вопросы
Предмет: Математика,
автор: andriyprostandjff2gg
Предмет: Английский язык,
автор: DrakoMallfoy
Предмет: Химия,
автор: ymnik7520
Предмет: Алгебра,
автор: сора2
Предмет: Математика,
автор: kitikxxx