Предмет: Алгебра,
автор: mariaogneva1718
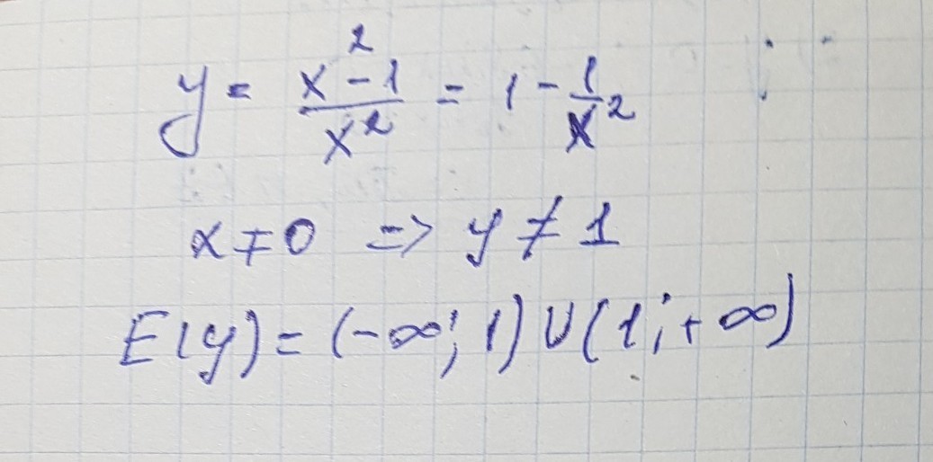
Пожалуйста помогите найдите область значений функции y=x^2-1/x^2
Ответы
Автор ответа:
0
решение задания смотри на фотографии
Приложения:
Похожие вопросы
Предмет: Русский язык,
автор: satalovigor38
Предмет: Математика,
автор: Аноним
Предмет: Математика,
автор: bilinscaya1028
Предмет: История,
автор: Аноним
Предмет: Алгебра,
автор: almazovaaa