Предмет: Алгебра,
автор: genius59
решите пожайлуста уравнение номер 96.
Приложения:
Ответы
Автор ответа:
1
надеюсь все видно
Удачи в школе!
Удачи в школе!
Приложения:
Автор ответа:
0
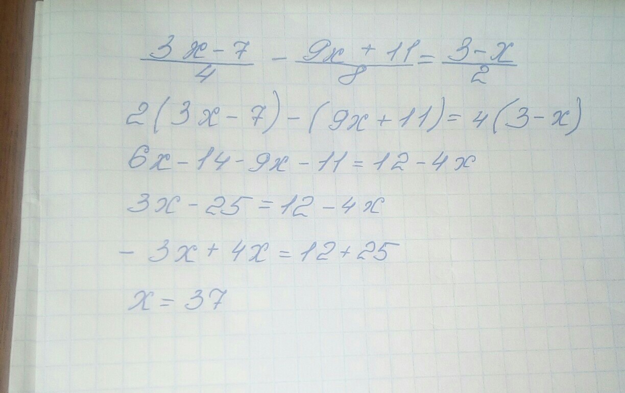
2(3x-7)-(9x+11)=4(3-x)
6x-14-9x-11=12-4x
-3x-25=12-4x
-3x+4x=12+25
x=37
Похожие вопросы
Предмет: Математика,
автор: gera224
Предмет: Английский язык,
автор: Аноним
Предмет: Геометрия,
автор: jota300
Предмет: Математика,
автор: Илья8641