Предмет: Алгебра, автор: Аноним

помагите решить в 1 задании нужно рушить уравнения а во в 2 нужно решить уравнения относительно переменной х

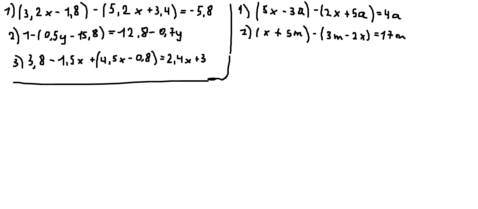
Приложения:

Ответы

Автор ответа: Artem112
0
3,2x-1,8-5,2x-3.4=-5.8
\
-2x=-0.6
\
x=0.3

1-0,5y+15.8=12.8-0.7y
\
0.2y=-4
\
y=-20

3,8-1,5x+4.5x-0.8=2.4x+3
\
0.6x=0
\
x=0

5x-3a-2x-5a=4a
\
3x=12a
\
x=4a

x+5m-3m+2x=17m
\
3x=15m
\
x=5m
Похожие вопросы
Предмет: Русский язык, автор: pukchel97
1. Укажите варианты ответов, в которых во всех словах одного ряда содержится безударная непроверяемая гласная корня

дивизион, серьга, скакалка



абрикос, аккуратный, комиссия



чистота, расчет, этаж



календарь, работа, солдат



винегрет, дистанция, протереть


Блок не пройден

2. Укажите варианты ответов, в которых во всех словах одного ряда содержится безударная чередующаяся гласная корня


почерк, воображение, рассчитать



минута, заросли, разминка



понять, разложить, касательная



замер, памятный, горелый



сотворить, настил, выровнять


Блок не пройден

3. Укажите варианты ответов, в которых во всех словах одного ряда пропущена проверяемая гласная корня.


освещение, разрядить, проредить



преамбула, масштаб, мизерный



проживать (в доме), пристяжная (лошадь), присягать



мировой, отношения, увядать



выявить, наследить, обветшалый


Блок не пройден

4. Укажите варианты ответов, в которых во всех словах одного ряда пропущена безударная чередующаяся гласная корня.


пловец, промокашка, равняйсь



равнина, уборщица, косица



полагать, придирчивый, зажигательный



стельная, племенной, Ростислав



блистательный, умирающий, зоревой


Блок не пройден

5. Укажите варианты ответов, в которых во всех словах одного ряда содержится безударная проверяемая гласная корня.


угомониться, обежать, росток



починить, водяной, кормушка



украшение, опоздать, загадочный



паводок, почерк, зажигалка



березовый, лакированный, кошачий


Блок не пройден

6. Укажите варианты ответов, в которых во всех словах одного ряда содержится безударная непроверяемая гласная корня.


обаяние, варежка, творец



достижение, документ, отрасль



телеграмма, перила, фамилия



песок, сирень, столица



магазин, лопата, костюм


Блок не пройден

7. Укажите варианты ответов, в которых во всех словах одного ряда содержится безударная проверяемая гласная корня


конгресс, земляной, зеркальный



замертво, сначала, обобщенный



партнер, монтаж, трасса



словесный, объединенный, терминологический



принадлежность, картина, вестибюль


Блок не пройден

8. Укажите варианты ответов, в которых во всех словах одного ряда содержится безударная чередующаяся гласная корня.


приравнять, творчество, блестеть



бирка, мировой, блестеть



зажигательный, заберите, предложить



разминка, мять, дергать



макать, ростовщик, на вырост


Блок не пройден

9. Укажите варианты ответов, в которых во всех словах одного ряда содержится безударная чередующаяся гласная корня.


выращивать, скакать, пловчиха



откос, стилист, слагаемое



горевать, предположение, косарь



гарь, плывун, скосить



выбирать, заря, постеленный


Блок не пройден

10. Укажите варианты ответов, в которых во всех словах одного ряда содержится безударная непроверяемая гласная корня.


порхать, напилить, считать



хозяин, однажды, природа



лагерь, колонна, аллея



аппетит, собака, аргумент



ягода, территория, лестница