Предмет: Алгебра,
автор: TaniiiA11
Помогите решить пожалуйста...
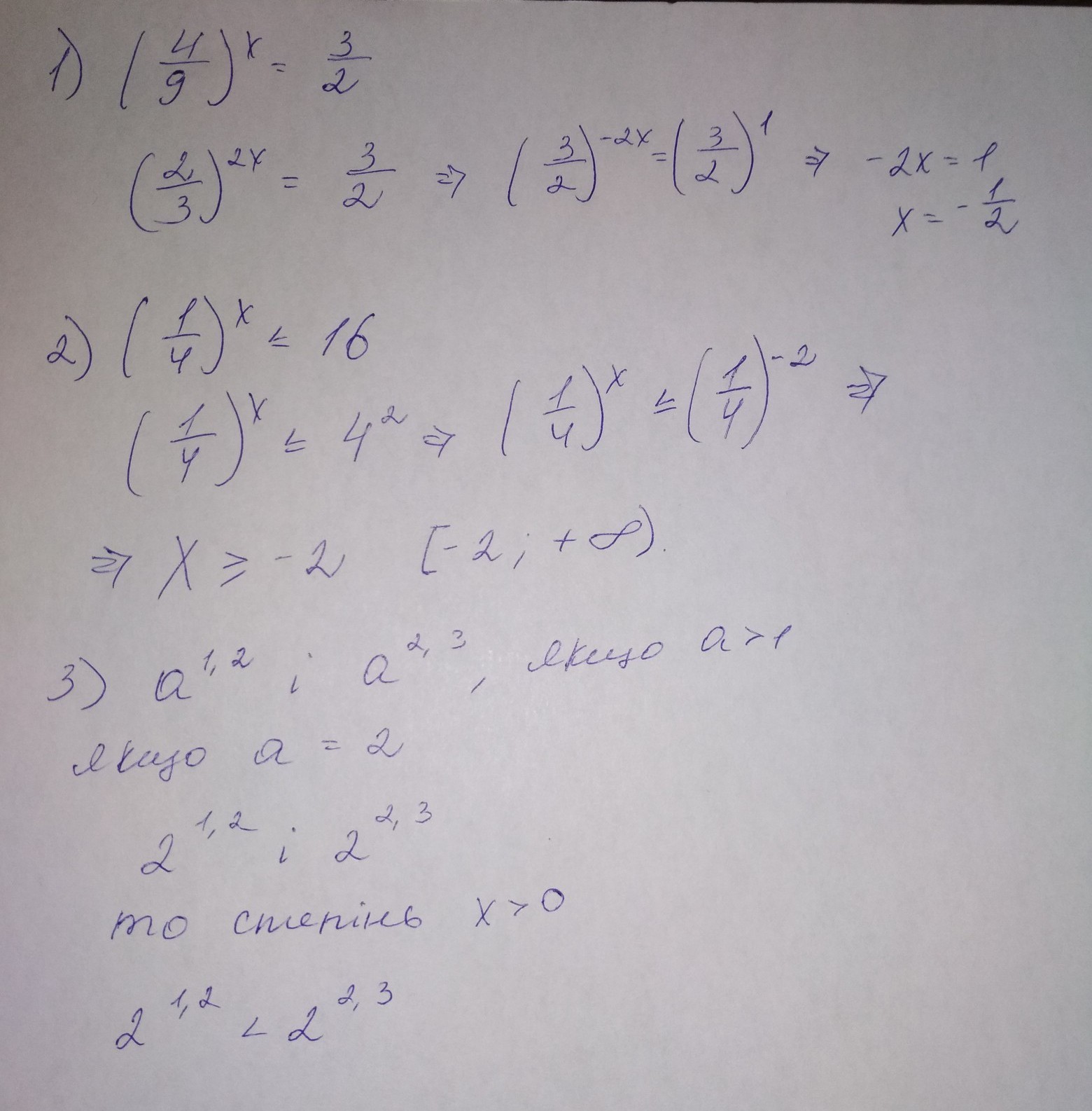
1.решить уравнение
2.решить неравенство
3.сравнить выражение
Приложения:
Ответы
Автор ответа:
1
Тримай відповідь))))
Приложения:
TaniiiA11:
Дякую гарно
Похожие вопросы
Предмет: История,
автор: anastasiaklejmus5
Предмет: Русский язык,
автор: ailingammayeva
Предмет: Физика,
автор: nicitaserebrikov
Предмет: Математика,
автор: glazkovainna
Предмет: Математика,
автор: баfffрсик