Предмет: Алгебра,
автор: tanika87
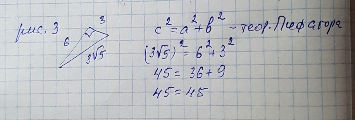
помогите 3 задание пожалуста
Приложения:
Ответы
Автор ответа:
1
решение задания смотри на фотографии
Приложения:
anuta1717:
Здравствуйте, а 4 задание как решать?
Похожие вопросы
Предмет: Музыка,
автор: blagovasasa592
Предмет: Химия,
автор: ishaskowamarina
Предмет: Русский язык,
автор: tentanya207
Предмет: Литература,
автор: Аноним
Предмет: Литература,
автор: катюха2000001