Предмет: Информатика,
автор: alexe0101
решите пожалуйста в паскале
Приложения:
Ответы
Автор ответа:
1
PascalABC.NET 3.4.2, сборка 1814 от 02.10.2018
Внимание! Если программа не работает, обновите версию!
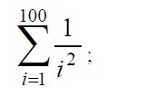
begin
SeqGen(100, t -> 1 / (t * t), 1).Sum.Println
end.
Результат: 1.63498390018489
Похожие вопросы
Предмет: Обществознание,
автор: cucummberr
Предмет: Алгебра,
автор: artyrmalfoy2005
Предмет: Русский язык,
автор: muhammadaminsultanov
Предмет: Информатика,
автор: Elya1236
Предмет: Математика,
автор: Kk839676