Предмет: Математика, автор: sanarakadir

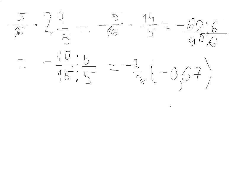
-5/16*2 4/5срочноооо

Ответы

Автор ответа: kkkkiiiii
1

_______________

УДАЧИ!!!!!!!!!!!!!!!!!!

Приложения:
Похожие вопросы
Предмет: Биология, автор: darasidorenkova2
Предмет: Английский язык, автор: vladbilenko7
Помогите пж даю 80б
Control wok 7 form “ Sport” Task 1. Fill in the sentences with the words from the box. Referee, competitions, disability, swimming, take place, champion 1. Our team always takes part in sport … 2. Moving through water by wagging arms and legs is called… 3. The Paralympic games are the games for athletes with a … 4. The Olympic games …. every 4 years. 5. She was going to be the women’s world … 6. The … always blows the whistle at the beginning of the game. Task 2. Group up the sports into 3 columns. Table tennis, athletics, fencing, golf, yoga, cycling, gymnastics, basketball, figure skating Play go do Task 3. Complete with tag-questions. 1. This house is expensive, … ? 2. They passed their exams well, … ? 3. Mark was at a football match last week, …? 4. Little Sam doesn’t go to school yet, …. ? 5. We can’t do this task, …? 6. You didn’t arrive on time, … ? TASK IV Fill in the gaps draw whistle racing car driver penalty Olympic Games 1) The … take place every five years. 2) The referee always blows the … at the beginning. 3) After a bad foul the other team gets a… . 4) The score is 2-2. It’s still a… . 5) Michael Schumacher is a very famous… . TASK V Write an e-mail to your friend describing a recent sport event you watched. Hi…! There was a … … … competition (game, match) on (in, at) … … … yesterday. I saw it with … . The participants showed …. . The spectators were … . The score was… . I think the competition (game, match) … .