Предмет: Алгебра, автор: safarizoo777

Помогите решить алгебра 8 класс!! СРОЧНО!

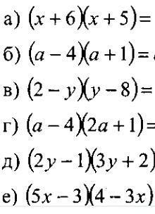
Приложения:

Ответы

Автор ответа: KatyaKaterina2003
1

Вот, решение на фото:

Приложения:
Похожие вопросы
Предмет: Литература, автор: hiendungodessa
Тестові завдання 1. Джек Лондон письменник: а)американський; б) англійський; в)ірландський. 2. Справжнє ім’я Джека Лондона: а)Джек Лернер; б)Джон Гріффіт; в)Джон Джордон. 3. Коли герой викинув усе золото, то все ж таки залишив при собі: а) клунок, відерце, шапку; б)укривало, відерце, рушницю; в)ніж, куртку, чоботи. 4. «Він і сам злякався цієї загадкової істоти, що стояла прямо й не боялася його. Він стояв, як статуя, поки небезпека минула». Про кого йде мова: а) героя і ведмедя; б)вовка і героя; в)героя і вчених з китобійного судна. 5. Чого герой боявся більше , ніж як померти від голоду: а) замерзнути від холоду; б)вкрити своїми кістками землю і мох; в)вмерти наглою смертю до того, як голод вб’є в ньому прагнення жити. 6. Під кінець 5-го дня до корабля залишилось ще: а) 5 миль; б)7 миль; в)10 миль. 7. Події якого періоду історії Америки описані в оповіданні Д.Лондона «Жага до життя»: а) «золота лихоманка» на Алясці; б)об’єднання всіх штатів Америки в єдину державу; в)вигнання індіанців із їх земель. 8. У творі Д. Лондона «Жага до життя» звучить ідея: а) терпіння і труд все перетруть; б)віри в людину; в)боротьби за свободу. 9. Які події в житті Д. Лондона стали поштовхом до написання оповідання «Жага до життя»: а) розповіді друзів - золотошукачів; б)повідомлення з газет; в)багатий власний життєвий досвід. 10. Про які риси характеру головного героя ми можемо говорити: а) зневіреність, себелюбство, заздрість, упертість; б)сміливість, терпіння, упертість, життєлюбство; в)егоїстичність, упертість, злорадство, заздрість. 11. Визначте ідею оповідання «Жага до життя»: а) людина кидає виклик смерті і перемагає її; б)треба жити в гармонії з природою; в)золото дорожче за життя. 12. Кульмінація оповідання «Жага до життя»: а) зустріч з ведмедем; б)Білл залишає друга самого серед північної пустелі; в)двобій героя з вовком.
Предмет: Математика, автор: Alekseev97