Предмет: Алгебра,
автор: voronvoronik
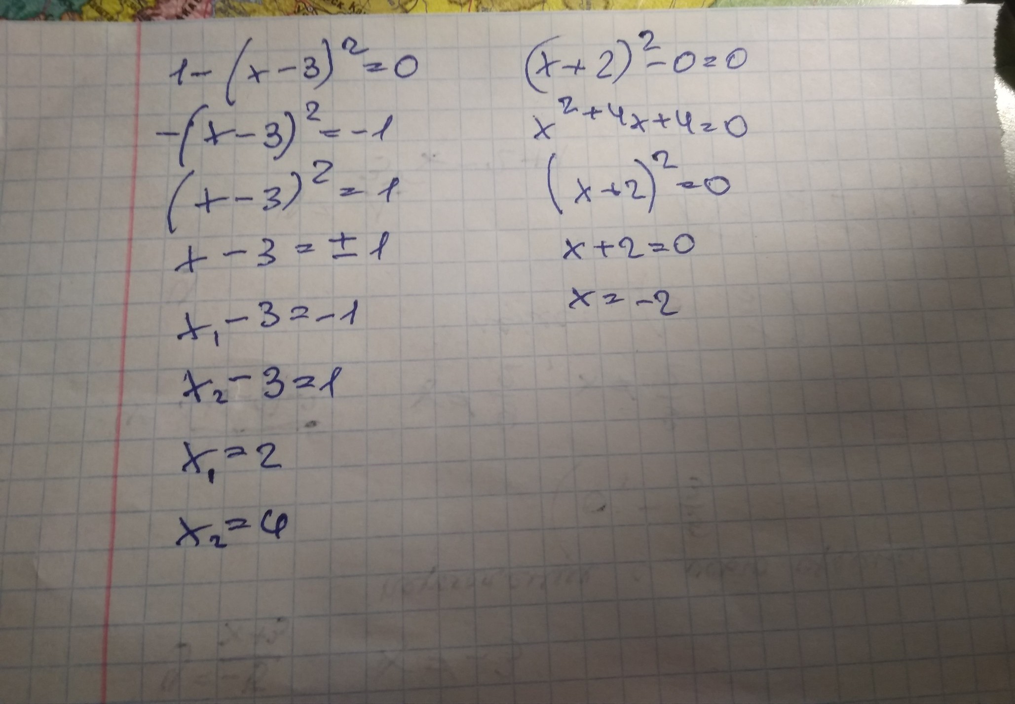
Решите уравнение :
1-(x-3)^2 = 0
(x+2)^2-0=0
Ответы
Автор ответа:
0
по идее так должно получиться
Приложения:
Похожие вопросы
Предмет: История,
автор: djumabaevaanelya
Предмет: Русский язык,
автор: Rew123123
Предмет: Химия,
автор: ahmadbekovamehran
Предмет: Литература,
автор: привіт7
Предмет: Литература,
автор: Егорхоккей