Предмет: Математика,
автор: hava95959569
Всем привет как дела пожалуйста помогите номер 248 буду очень блогодарнаутром вставать а я уроки ночью делаю❤️❤️
Приложения:
Ответы
Автор ответа:
1
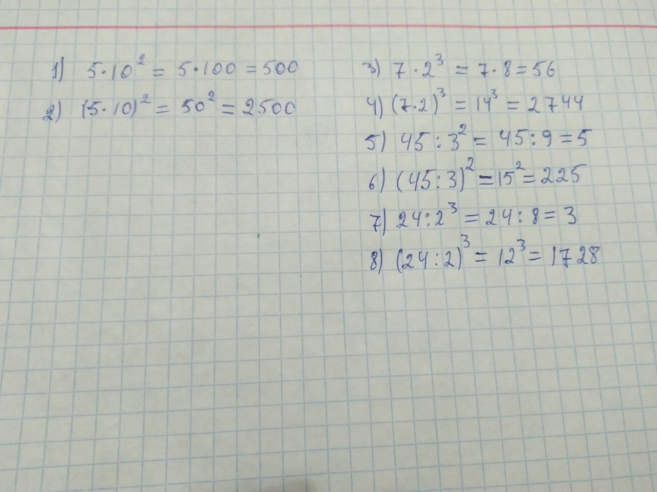
Так можно, там все очень легко если понять?
Приложения:
hava95959569:
Спасибо тебе
Похожие вопросы
Предмет: Алгебра,
автор: mariakozionova8
Предмет: Английский язык,
автор: SlavaF10128
Предмет: Английский язык,
автор: erlanurkymbaev
Предмет: Математика,
автор: назар141
Предмет: Математика,
автор: НастяЛинд