Предмет: Математика,
автор: tt12016
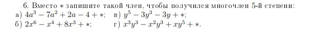
Люди сердечно прошу скажите ответы на столь сложное упражнение для моего плохо развитого мозга. Спасибо
Приложения:
Ответы
Автор ответа:
0
Привет! Я в 10 классе. И я не могу ответить на твой вопрос. Я в 4 классе. Мы то ещё не проходили!
Похожие вопросы
Предмет: Литература,
автор: nastianikacom
Предмет: Химия,
автор: Zuhrahanym57
Предмет: Алгебра,
автор: DilaKim
Предмет: Математика,
автор: milanasemenova