Предмет: Алгебра,
автор: ПельмешикТата
Помогите мне это решить:
Приложения:
Ответы
Автор ответа:
1
Ответ.
решение уравнения на фото
решение уравнения на фото
Приложения:
армения20171:
не правильно
правильно : x = 3( 1 ±i √7) /4 ,где i =√-1 ||√-63 =√9*√7 *√-1 =3√7i ||
Автор ответа:
1
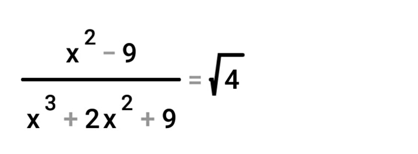
(х²-9)/(х³+2х²+9)=
(х-3)(х+3)/(х³+3х²-х²+9)=
(х-3)(х+3)/(х²(х+3)-(х-3)(х+3))=
(х-3)(х+3)/(х+3)(х²-х+3)=(х-3)/(х²-х+3)
х+3≠0;х≠-3
х²-х+3>0
(х-3)=2(х²-х+3)
2х²-2х+6-х+3=0
2х²-3х+9=0
Д=9-72<0
х€∅
(х-3)(х+3)/(х³+3х²-х²+9)=
(х-3)(х+3)/(х²(х+3)-(х-3)(х+3))=
(х-3)(х+3)/(х+3)(х²-х+3)=(х-3)/(х²-х+3)
х+3≠0;х≠-3
х²-х+3>0
(х-3)=2(х²-х+3)
2х²-2х+6-х+3=0
2х²-3х+9=0
Д=9-72<0
х€∅
нет действительных корней
Похожие вопросы
Предмет: Алгебра,
автор: volodcenkosofia23
Предмет: Английский язык,
автор: Lisattagalimska
Предмет: Алгебра,
автор: plm114
Предмет: Алгебра,
автор: assema1998
Предмет: Математика,
автор: 228школьник2283