Предмет: Алгебра,
автор: lisa6529
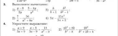
Великая алгебра. Помогите, если не сложно
Приложения:
Ответы
Автор ответа:
1
решение смотри на фотографии
Приложения:
Похожие вопросы
Предмет: Қазақ тiлi,
автор: berkimbaevaainura5
Предмет: Алгебра,
автор: sosidska22344ssda231
Предмет: Українська мова,
автор: xdakk76
Предмет: Химия,
автор: Pentel1
Предмет: История,
автор: саша2038